Uniswap V2是最受欢迎和最成功的DEX。
通过曲线对配对资产进行定价,结果变成了这样:

其中 x 和 y 是资金池中资产的余额。
给定Δx,为了将Δx交换为Δy,Uniswap V2将执行以下计算:

这样交换后仍然满足xy=k不变量,价格为:

Uniswap V2的一大特点是无需许可,任何人都可以通过提供代币来创建两个资产的交易对。
例如,通过在资金池中提供 x = 1 ETH和y = 3000 USDT,流动性提供者可以创建一个交易对,ETH最初定价为3000 USDT/ETH。
尽管Uniswap V2获得了广泛采用,但Uniswap V2的关键问题是其资本效率低,因为流动性分布在价格 [0, +∞] 上。
这意味着如果两种资产的价格集中在一个相对较小的范围内(例如稳定币互换),则资金池中的大部分资产并没有有效地为互换做出贡献,从而导致较高的滑点和LP收取的费用较低。
Uniswap V3的集中流动性
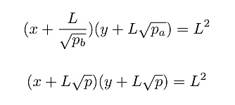
Uniswap V3通过使用一种称为集中流动性的技术来改善资本效率低下的问题,该技术使用了以下曲线:

其中交易的实际价格在 [p_a, p_b] 中,p_a < p_b。
通过设置p_a = 0和p_b = +∞,V2本质上是V3的特例。
在提供流动性时,Uniswap V3会向LP询问流动性的价格范围(见下图)。

这允许LP将流动性集中在目标价格范围内,从而实现更高的资本效率。
以稳定币交易(USDC/USDT)为例,从下图中,95%的流动性集中在价格区间[0.999, 1.001],实现了比Uniswap V2约2000倍的资本效率。
由于流动性集中,交易USDC/USDT的滑点远低于V2,因此对于流动性池中提供的相同数量的资产,LP可以比V2收取更多的费用。

由于集中流动性的特点,Uniswap V3的TVL进展非常顺利,在大约3个月内达到25亿。

多重汇集资产的集中流动性
Uniswap V3仅为成对资产的集中流动性。一个很自然的问题是:
资金池中多种资产的集中流动性如何?
通过为多种资产集中流动性,我们可以实现更高的资本效率,因为资产可以共享资金池中的流动性。相比之下,在V3 中,由于直接交易的流动性不足,交易可能会被路由到多个交易对。例如,交换TUSD -> BUSD可能会被路由到TUSD -> USDT -> BUSD,这意味着交易者将支付更多的费用,滑点越高。
所以核心问题是:
多重资产的集种流动性曲线应该是怎样的?
不幸的是,答案并不简单,甚至更为复杂。让我们从从集中流动性中获益最多的稳定币交易开始。
假设两个稳定币的价格在[p, 1/p] 之间(例如,p = 0.999),我们可以将V3曲线简化为:

其中 [p, 1/p] = [p_a, p_b]。
简化曲线的优点是它有点对称,直观的扩展是为另一个稳定币添加第三项,得到以下等式:

请注意,3个资产等式与2个资产等式的细微变化:
右手边是 L3 而不是 L2
我们不使用左侧的p的平方根,而是使用p的立方根。
鉴于这个等式,我们有一个关键结果:

例子
Balanced Pool
3个有6位小数的稳定币
x, y, z = [1000,000e6, 1000,000e6, 1000,000e6],即每个资金池中有1M
p = 0.999,即价格范围是[0.999, 1.001]
由于这三个术语相同,我们有:
L = x / (1 — ?0.999) = 2998.99977x
请注意,与x y = k曲线相比,其中L = x,我们的资本效率约为2000倍。
用10,000e6(即10k美元)T0 交换T1将返回9999.96e6 T1 @ 0.999996 T0/T1。作为比较,xy=k曲线将返回9375e6 T1 @ 0.9375 T0/T1,其滑点要高得多。
极度不平衡的资金池
x, y, z = [0, 0, 1000,000e6],即每个资产池中有1M
p = 0.999,即价格范围是 [0.999, 1.001]
由于资金池只有一个资产T2,我们预计T2的价格将接近价格限制,即0.999,或者等效地,剩余资产的价格(T0/T1)与 T2 的价格应为 1.001。
按照曲线,我们可以求解L = 999.333z。因此,将10,000e6 T0 交换为T2将返回10009.90e6 T2 @ 1.00099 T0/T2,与价格限制(1/0.999)几乎相同。
当前状态
我们正在实施稳定币交易的交换算法:
高分辨率定点求解器 ? n = 3 个资产(但可以扩展到更多)
可调整的价格范围[p, 1/p]
Uniswap V2风格的界面(铸造/销毁/交换)
gas成本优化
一旦算法的实现得到了很好的验证,我们将使用它作为Smoothy.finance (SMTY)下一版本的候选。
未来话题
在汇集资产的集中流动性领域,可以进一步发展几个有趣的话题:
更多资产 {x_0, x_1,…,x_n},其中曲线如下所示:

多个价格范围。例如,假设我们有p_0 < p_1(例如,p_0 = 0.99,p_1 = 0.999),并且LP可以选择其流动性的价格范围之一。
因此,该算法将联合求解以下方程以进行交换。

不同资产的不同价格范围,方程式如下所示:

总结
集中流动性是DEX中最热门的话题之一,具有以下好处:
降低滑点
更多费用
Uniswap V3是第一个为配对资产提供集中流动性的DEX。对于稳定币交易,资本效率可以达到2000倍。
我们建议对多池资产集中流动性:
在多种资产之间共享流动性。
非常适合稳定币交易。
可以成为相同支持资产互换市场(相对于曲线)中的有竞争力的产品。
稳固的智能合约实施。
5月29日,Arbitrum的主网测试版Arbitrum One上线。截至目前,74个项目已经部署完毕,就等待Arbitrum One的主网于8月底上线(list上的项目还在不断增加)。在Terra、Solana以及Avalanche等公链生态爆发之际,Arbitrum One即将上线无疑为以太坊生态带去了好消息。 前景回顾 再说一下外部的形势。
使用美元的主权国家萨尔瓦多,将基于 Algorand 技术开发区块链基础设施。 2021年8月31日,拉丁美洲区块链资产代币化和金融基础设施公司 Koibanx 发布公告称,Koibanx 已与萨尔瓦多政府——一个使用美元的主权国家签订了合作协议,将基于 Algorand 技术开发区块链基础设施。
Loot的出现,让加密社区感到兴奋。 Messari研究员Ryan Watkins表示:Loot是我很长时间以来见过的最令人兴奋的NFT项目。这是截至目前真正社区驱动的元宇宙项目中最好的实验。 Tandavas表示:Loot是与众不同的,这是以前从未出现过的,它是NFT领域的范式转变。
大家好,我是佩佩,在这个夏天playtoearn很火,不过目前基本上都是类似defi挖矿的游戏,需要有投入玩家也很在意ROI,甚至有些入门门槛比defi还要高,像axis里凑三只还可以的宠物得万把块钱,有些项目可能门槛不高但每笔操作的gas费用累积也是一个不小的成本,那今天我们来探索的一个游戏类项目。
大家好,我是佩佩,okexchain终于落地了,可能很多盆友多快忘了它吧,这两天也是第一波项目上线,本期就简单说下目前看到的一些项目情况。
“ 有段时间没有更新边玩边赚系列的,还是因为市场的火爆导致乱“项”丛生,好的项目入场费早已起飞,稳定的项目回本周期长,花费时间多不适合所有人,很难去辨别。之后的边玩边赚系列也只会介绍游戏本身玩法。