引言
VerkleTree作为ETH2.0升级的一个重要部分,其相比于MerkleTree,在Proof的大小上,有着很大的提升;对于规模在十亿级别的数据,MerkleTree的proof大约需要1kB,而对于VerkleTree,它将小于150Bytes。
VerkleTree的概念在2018年推出,具体的可以参考论文VerkleTree;本文将主要介绍VerkleTree的原理。
MerkleTree?
MerkleTree是一种常见的Accumulator,它可以用来证明某个元素存在于Accumulator中,如下图所示:

Synthetix Perps添加PEPE、SUI等8个新市场的两项提案已获投票通过:5月22日消息,Snapshot投票页面显示,合成资产发行协议Synthetix关于批准向Synthetix Perps(衍生品)添加8个新市场的两项SIP提案以获得投票通过,包括PEPE、SUI、BLUR、XRP、DOT、TRX、FLOKI和INJ。两项提案最终支持率均达100%。[2023/5/22 15:18:30]
如果想要证明=(06:32)在这个Tree中,那图中所有红色标记的node都需要包含在Proof中,然后verifier根据图中所示的路径计算出Root,并和期望的Root进行比较。

CoinList将于5月3日上线SUI交易 并提供1个月的免费质押:金色财经报道,据CoinList官方消息,CoinList将在Sui区块链的原生代币SUI发布后的第一天上架SUI 。此外,CoinList 将在CoinList Pro上为所有SUI交易对提供48小时的免费交易,并向所有符合条件的CoinList 用户提供1个月的免费质押。SUI的交易和质押预计将于2023年5月3日左右上线。[2023/4/27 14:29:18]
VerkleTrees-concept


流动性质押协议Liquid Collective在Coinbase Prime和Bitcoin Suisse上推出:金色财经报道,企业级流动性质押协议 Liquid Collective 已在 Coinbase Prime 和 Bitcoin Suisse 上推出。该解决方案允许机构客户抵押以太币以换取流动性抵押代币 LsETH,从而释放流动性以用于其他 DeFi 协议,同时仍能获得抵押奖励。(Theblock)[2023/3/8 12:48:29]


动态 | 加密金融服务提供商Bitcoin Suisse计划今年获得银行牌照:据Cryptonews消息,瑞士加密金融服务提供商Bitcoin Suisse计划在2020年获得银行牌照,这是其为首次公开募股(IPO)造势计划的一部分。该公司去年7月提交了许可证申请,并希望在2020年获得监管机构的批准,这是其中期IPO战略的一部分。Bitcoin Suisse创始人兼董事长Niklas Nikolajsen谈到了上市的重要性,声称该公司目前的金融资产基础“不足以满足”对其服务的需求。该公司首席执行官Arthur Vayloyan则表示,公司希望从投资者那里筹集4100万美元。目前该公司拥有价值约5650万美元的净资产,但希望在今年中期将这一数字翻一番。[2020/1/9]

金色财经现场报道 Distributed Business Application的创始人兼CEO黄连金:比特币的匿名性是伪匿名:金色财经前方记者实时报道,4月12日举办的第二届全球金融科技与区块链中国峰会2018上,Distributed Business Application的创始人兼CEO黄连金表示,比特币交易需要1个小时才能确认,比特币的匿名性是伪匿名,可以通过大数据对交易地址进行推断。[2018/4/12]
Basis
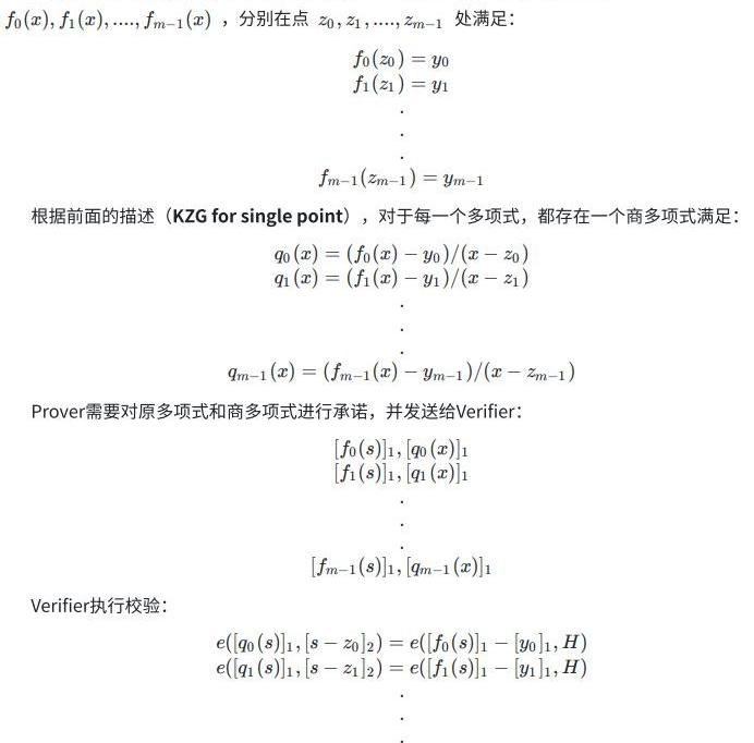
KZGforsinglepoint

因为s是有限域F上随机选取的?个点,因此,prover作恶成功的概率为degree(Q)/P。
KZGformulti-points

VerkleTree-ETH

Compressformulti-polys

很明显,我们并不想让Verifier执行这么多次的配对操作。因此,我们需要进行一次Compress,具体如下:



Keypropertie

参考?
1.PCSmultiproofsusingrandomevaluation-Dankrad?Feist:?
https://dankradfeist.de/ethereum/2021/06/18/pcs-multiproofs.html
2.?Verkletrees-vitalik:https://vitalik.ca/general/2021/06/18/verkle.html??
3.?VerkleTreespaper:?
https://math.mit.edu/research/highschool/primes/materials/2018/Kuszmaul.pdf?
4.?Vectorcommitment:https://eprint.iacr.org/2011/495.pdf
5.?Lagrangeinterpolation:https://en.wikipedia.org/wiki/Lagrange_polynomial?
6.?KZG10:https://dankradfeist.de/ethereum/2020/06/16/kate-polynomial-commitments.html
7.?IPA:https://twitter.com/VitalikButerin/status/1371844878968176647
8.?Schwartz–Zippellemma:https://en.wikipedia.org/wiki/Schwartz%E2%80%93Zippel_lemma
关于我们
Sin7y成立于2021年,由顶尖的区块链开发者和密码学工程师组成。我们既是项目孵化器也是区块链技术研究团队,探索EVM、Layer2、跨链、隐私计算、自主支付解决方案等最重要和最前沿的技术。
微信公众号:Sin7y
GitHub:Sin7y
Twitter:@Sin7y_Labs
Medium:Sin7y
Mirror:Sin7y
HackMD:Sin7y
HackerNoon:Sin7y
Email:contact@sin7y.org
来源:金色财经
标签:LETSINPROAINUmethylethylketoneBusinessmanTokenRobinHoodProtocolYSHIBAINU价格
原文标题:《Don''tcountonCeFitoprotecttheEthereumnetwork》原文作者:NothingResearch原文编译:Jack(0x137).
以太坊完成了一次重大的网络升级,标志着加密世界迄今为止最雄心勃勃的软件升级,并为可能推动商业区块链使用增加的变化铺平了道路.
在这篇文章中,我们分析了单写原则应用是如何工作的和它们能实现什么,以及最关键的“为什么Sui将有机会构建Web3中最快的应用程序? 原文:Trace推特 虽然很多人都看好Sui.
可能很快就会出现柴犬(SHIB)反弹。最近的事件引发了人们对ShibaInu项目及其原生加密货币的广泛兴趣.
操作建议:1380-1354附近空单进场,目标止盈点位看1320-1300附近,破位继续持有,已到目标点位附近,恭喜跟单操作的实仓客户多单完美获利62个点,真金不怕火炼实力等你来验.
品牌为消费者塑造的价值感与数字藏品的稀缺性可谓是天作之合。 文:叶小钗 编辑:亚伦 数字藏品与品牌营销“数实融合”的趋势最近,央视旗下的数家数藏平台出尽了风头,展现出了数字藏品“国家队”的强大“.