RICS



则R1CS成立。
TransitionintoPolynomial(efficiency)
Prepare

Definepolynomial

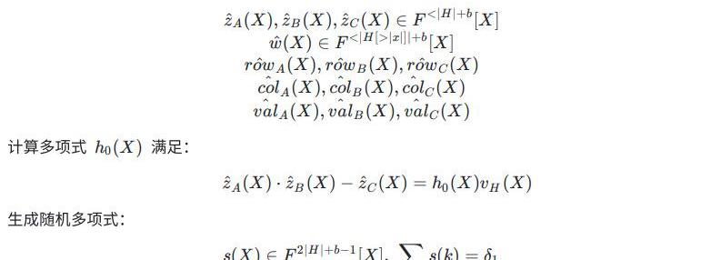
2.为向量z=(x,w)定义多项式

3.为矩阵A,B,C定义多项式?
为了减小verifier计算的复杂度,这里用了一个特殊的形式来表示矩阵,以上述示例的矩阵A为例:
Sino Global向FTX-Alameda提出6700万美元索赔:金色财经报道,Matthew Graham的Sino Global Capital代表Sino的Liquid Value基金向FTX Trading Ltd.提出了6730万美元的索赔,该基金于2021年与Sam Bankman-Fried联合推出。该基金的目标是筹集2亿美元资金,主要针对高净值人士。
在宣传该基金的营销材料中,FTX在幻灯片中被描述为“联合普通合伙人和锚定有限合伙人”,有可能通过接触Bankman-Fried的代币世界来释放“重大战略价值”。截至2022年1月,该基金已经筹集了9000万美元,FTX是锚定投资者。
最初,Sino Global表示,其“对FTX交易所的直接敞口被控制在七位数左右”。[2023/8/7 21:30:11]


Linearitycheck


AlgoX与新火科技旗下MPC自托管平台Sinohope达成合作:据官方消息,新火科技旗下MPC自托管平台Sinohope宣布正式与专注全球大宗商品的量化交易公司AlgoX达成合作协议,双方将围绕虚拟资产安全及合规托管技术进行深度沟通与密切合作。
作为新火科技新近推出的重点产品,Sinohope致力于为每个机构打造专属的数字资产自托管平台。该平台通过采用 MPC-CMP 技术支持用户分布式管理私钥分片与协同签名解决私钥单点风险,有效增加透明性和易用性。
AlgoX-算法探索技术公司(Algorithm Exploration Technologies)总部位于新加坡,专注于探索适用于超高频交易(HFT)的数学算法创新研究,打造“交易订单簿背后的大脑”。通过将先进数学算法与程序自动化交易融合研究,旨在成为全球领先的交易技术探索型创新企业。[2023/5/12 14:59:27]

可以看出,当多项式t(X)取遍H值时,满足:

同样,也可以从公式推导:

Injective宣布INJ隐私版本Secret INJ (sINJ) 上线:据官方消息,Injective宣布,INJ隐私版本Secret INJ (sINJ) 上线,为社区实现了INJ的隐私余额和隐私转账。作为该计划的一部分,Secret和Injective之间的IBC桥已在Injective Hub上启动。[2022/8/17 12:29:48]

AHPforR1CS
Common

Prover
=>Prover

=>Oracle

=>Prover?-sumcheck-1

声音 | Beosin预警:Mercatox交易所再次遭hard_fail攻击:成都链安态势感知系统Beosin Eagle Eye检测到,今日晚上7点左右攻击mercatox交易所的黑客于晚上10:23时再次对该交易所发起(hard_fail)攻击,并获利500多EOS。成都链安提醒各大交易所,近日来不断有黑客尝试用(hard_fail)攻击手法来试探各大交易所,各大交易所需做好防护措施。[2019/3/15]
=>Oracle

=>Prover-?sumcheck-1

=>Prover-?sumcheck-2

=>Oracle

=>Prover-?sumcheck-2
Coinsquare宣布与Processing.com合作 支持借记卡和信用卡交易:近日,数字货币和贵金属交易所Coinsquare宣布与Processing.com建立合作,该合作将允许Coinsquare通过借记卡和信用卡交易,为公众提供数字货币的法币即时支付。此外,Coinsquare还计划进一步拓展国际市场,首先考虑在美国和英国建立新的交易所。[2018/2/22]

=>Prover-?sumcheck-3

=>Oracle

=>Prover-?sumcheck-3

Verifier
=>Verifier-sumcheck-3

=>Verifier-sumcheck-2
Recalltheequality

=>Verifier-sumcheck-1
Recalltheequality

=>Verifier

Polynomialcommitment?
协议总共进行了三轮交互,每轮交互承诺的多项式,以及query的点如下:

Optimization
Sum(s(X))=0
生成随机多项式:

Reducesumcheck?
根据COS20.Claim6.7论?提到的优化,我们令:

Common

Prover




Verifier

ReducepolynomialnumbersforSumcheck-2?
对三个矩阵的现行校验,压缩成对一个矩阵的校验,即:

对这个多项式进行稀疏矩阵的表示。?
矩阵多项式,从9个缩减为3个。?
Setb=1?
令b=1
FinalProcotol?
Marlininarkworks
参考
1.arkworksformarlin:https://github.com/arkworks-rs/marlin/blob/master/diagram/diagram.pdf
2.Marlin:https://eprint.iacr.org/2019/1047.pdf
3.COS20.Claim6.7(Fractal):https://eprint.iacr.org/2019/1076.pdf
4.paper5.2.1:https://eprint.iacr.org/2019/1047.pdf
关于我们
Sin7y成立于2021年,由顶尖的区块链开发者和密码学工程师组成。我们既是项目孵化器也是区块链技术研究团队,探索EVM、Layer2、跨链、隐私计算、自主支付解决方案等最重要和最前沿的技术。
微信公众号:Sin7y
GitHub:Sin7y
Twitter:@Sin7y_Labs
Medium:Sin7y
Mirror:Sin7y
HackMD:Sin7y
HackerNoon:Sin7y
Email:contact@sin7y.org
来源:金色财经
标签:VERCHEHECSUMShibaElonVerseREKT2RICHEScoincheck交易所无法提现Sumokoin
本文Vitalik9月20日在其博客发表的关于DAO的文章最近,关于高度去中心化的DAO行不通的观点有很多讨论,为了保持竞争力,DAO治理最开始应该更接近于传统公司的治理.
最近,关于高度去中心化的DAO行不通的观点有很多讨论,DAO治理应该开始更接近于传统公司的治理为了保持竞争力.
Chiliz提供了一个独特的计划,“我不仅仅是一张粉丝借记卡”,可在网络平台上使用。拥有“Socios.com借记卡”的球迷可以从他们喜爱的俱乐部获得更多奖励和其他好处,它将于今年11月推出.
简介:Atpos是一个实现高吞吐和低延迟,区块链利用流水线和模块化方法来处理事务的layer1公链,团队:aptos于2021?年创立,总部位于加利福尼亚州的帕洛阿尔托.
比特币兑美元汇率从18,150美元区域开始向上修正。BTC回到19,200美元上方,突破19,500美元可能引发新一轮反弹。比特币在19,000美元上方显示出一些积极迹象.
比特币和以太坊以不同的速度运行:许多人想知道阿喀琉斯是否会赶上乌龟。比特币更老,但天生完美:不需要改变,我们甚至喜欢它的本来面目。以太坊在几年后诞生,并且从那时起已经更换了2次皮肤.