注:
研究者认为,即使Uniswap流动性提供者在每一笔套利者交易中都经历亏损,但在某些情况下,由于波动性收获,他们仍然能比单纯持币的表现更好,在这种情况下,手续费设置应尽量接近于零,而不应为零,以尽可能多地进行再平衡。
原文作者是来自投资机构Paradigm的研究人员DaveWhite、MartinTassy、CharlieNoyes以及DanRobinson,他们也是Uniswap的种子轮投资方。

在无情的套利下,UniswapLP反而变得富有。
一、问题
10月14日,CharlieNoyes在Twitter上贴出了一个他与DanRobinson一直在争论的问题:

“对于任何Uniswap资产对,最佳的费用是多少?这种最优的费用,能否击败一个未平衡的投资组合,实现去除无常损失,甚至超额增长?”
1、1背景
自动化做市商是一类去中心化交易所,它允许客户在像USDC和ETH这样的链上资产之间进行交易。而Uniswap是以太坊上最流行的AMM,与大多数资产管理系统一样,Uniswap通过持有两种资产的储备来促进特定资产对之间的交易。它根据其储备金的规模来确定它们之间的交易价格,从而使价格与更广泛的市场保持一致。
任何愿意加入某一对资产池的人,我们称他们为流动性提供者,或简称为LP,这些人会同时向两个储备资产贡献资产,他们要承担部分交易风险,以换取部分手续费回报。
1、2设置的问题
该资产池在稳定币与价格随机变动的风险资产之间提供流动性,我们还做出了一个特别残酷的假设,即所有进入池子的交易都是知情的。
换言之,整个池子在每次交易后都会经历亏损。
1、3传统思维
乍一看,在这种情况下,成为UniswapLP似乎是一个代价高昂的错误。
比特币矿企CleanSpark 2月产出576枚BTC,售出778枚BTC:金色财经报道,比特币矿企CleanSpark发布2023年2月挖矿和运营进展更新,CleanSpark 2月共产出576枚BTC,2023年至今已产出1273枚BTC。截至2月28日,CleanSpark持有100枚比特币,总算力为6.6EH/s。2月,CleanSpark以2.3万美元的均价出售了778枚BTC,收益为1790万美元。(Globenewswire)[2023/3/3 12:40:39]
由于做市商要求买入的价格要低于卖出的价格,因此当资产价格不动时,他们直接获利,他们得到的买入和卖出量大致平衡。这些交易通常被称为“不知情”交易,因为它们与短期价格走势无关。
另一方面,做市商在价格下跌之前买入资产,或在价格上涨前卖出,都会亏损。因此,做市商最害怕的交易对手之一就是套利者,他们只有在价格发生变化时才会来交易,并将做市商抛在身后。套利者所执行的每笔交易,对其而言都是纯利润,而对于做市商来说则是纯亏损。
由于在我们的Uniswap问题设置中没有不知情的交易,因此,LP显然会经历非常大的损失。
1、4挑战
然而,Dan和Charlie认为这个故事并没有到此为止。
他们怀疑,对于某些潜在的价格动态而言,成为UniswapLP仍然是有意义的。
他们将这个问题抛给了数学金融领域的传奇人物StevenShreve,然后在Twitter上公布了这个问题,MartinTassy和我独立地提出了部分解决方案,然后合作将完全的解决方案扩展到通用情况。
在接下来的几个星期里,我们四个人花了一些时间通过电报讨论结果,寻找错误,建立我们的直觉,而这些讨论正是这篇文章的基础。
二、解决方案
如果一项资产的波动性相对于其平均回报率足够高,那么随着时间的推移,Uniswap上的LP将比囤币者的表现更好,即使是在所有交易都是套利交易的情况下。
这是由于一种称为“波动性收获”的现象造成的:在某些条件下,通过周期性地对两种资产进行再平衡,它们的表现有可能超过任何静态投资组合。在这种情况下,“再平衡”是指进行交易,使每项资产中持有的总资产组合价值的比例返回到固定的配置,例如50/50。
比特币矿企CleanSpark将以3230万美元购买2万台比特大陆矿机:金色财经报道,比特币矿企CleanSpark以低于市场价购买2万台比特大陆矿机。CleanSpark表示,通过折扣券,矿机价格降低25%,预计将以3230万美元购买2万台新的比特大陆AntminerS19jPro+矿机,相当于13.25美元/TH,低于15.09美元/TH的市场价。安装后,CleanSpark的比特币挖矿能力将从6.6EH/s增加2.44EH/s至9.04EH/s,增幅达37%,预计5月底将从制造商处分批交付。CleanSpark计划到2023年底达到16EH/s的计算能力。[2023/2/16 12:11:50]
因此,当LP被套利时,他们基本上会向市场支付一笔费用,为他们重新平衡投资组合。在这个特定的数学环境中,当这种再平衡是有益时,你就要尽可能多地这样做。这意味着流动性提供者应将其费用设置为尽可能低而不为零。
这对于Uniswap来说是个好消息,因为这意味着即使在套利交易占主导的情况下,仍然可以享受低廉的费用,这使Uniswap在链上订单不断增加并开始提供更小的价差时保持竞争力。
也就是说,值得重复的是,这些结果适用于非常特殊的程式化数学设置,其中涉及的假设与Black-Scholes期权定价模型非常相似。为了数学上的方便,我们还假设了一个不同于Uniswap生产中使用的费用结构。
2、1对照标准
我们通过比较它们的渐进式财富增长率来评估不同的策略,这些增长率衡量它们在长期内复合价值的速度。
这个数量是很重要的,因为随着时间的推移,优化它的策略比几乎不确定的策略执行得更好。
我们将所有策略与“未平衡投资组合”进行比较,后者的一半价值是稳定币,另一半则是风险资产,在这之后再也不会改变。这也是衡量AMM中所谓的“无常损失”的社区标准。
不管发生什么,未平衡的投资组合总是持有相同数量的稳定币,这意味着,在最坏的情况下,当风险资产失去其全部价值时,未平衡的投资组合将几乎完全由稳定币组成,因此从长期来看增长率将为零。
另一方面,如果风险资产呈指数增长,它将很快成为未平衡投资组合的主导,因此其增长率与风险资产相同。
Diem前高管Dante Disparte将担任Circle的首席战略官兼全球政策负责人:Facebook支持的Diem项目的前高管Dante Disparte将担任加密货币公司Circle的首席战略官兼全球政策负责人。Dante拥有数十年处理复杂全球金融和风险问题的经验,之前担任Diem协会执行副总裁,带头与世界各地的政府和金融行业领导人就稳定币和数字货币带来的问题和机遇进行接触和沟通。(彭博社)[2021/4/12 20:11:35]
值得注意的是,两个投资组合可以共享相同的渐进式财富增长率,而在近距离表现上却截然不同。例如,如果风险资产的增长率为零,那么零费用的Uniswap的股份价值将始终低于未平衡的投资组合,但由于预计随着时间的推移,两者都不会复合增长或亏损,因此两者的财富增长率都将为零。
2、2波动性阻力

50%损失/75%收益过程中的波动阻力。
要理解这些结果,首先要理解波动性阻力的概念。假设我们的风险资产,其价格每年要么下跌50%,要么上涨75%,并且两者发生的概率相等。
在任何一年,如果我们投资该资产100美元,我们的期望值是/2=112.5美元。如果我们简单地买入并持有,则我们的投资组合的预期价值将逐年增加12.5%,这似乎是个不错的交易。
不幸的是,在现实世界中,我们的利润不会实现。如果我们购买并持有这种证券,我们最终将失去一切。
这是因为,随着时间的推移,财富的复合会带来灾难性的损失。
如果我们一年损失50%,然后下一年增长75%,那我们最后拥有的只有投入时的87.5%。
随着时间的推移,大数定律会保证我们的收益为每年-15%,那我们将不可避免地破产。
2、3等等,发生了什么?
如果你受过从期望值的角度分析的训练,那么前一节很有可能看起来非常奇怪,甚至可能完全不正确。
实际上,一个多星期前,我们有了这个问题的完整的、闭合式的数学解,在此之前我完全不知道它在直觉上意味着什么。
Flare Networks首席执行官:Spark (FLR)不是证券:Flare Networks首席执行官Hugo Philion表示,与POS不同,FLR不会被抵押用以确认Flare交易。FLR将用作以太坊兼容链和非以太坊链之间的跨区块链互操作性的工具。Flare Networks本身将不参与可能利用其工具的应用的业务。因此,Flare不可能拥有“股票”和“证券”性质。Philion表示,团队的工作重点是2021年5月启动网络(U.Today)[2021/1/14 16:11:02]
究其根源在于:期望值是一个理论量,它衡量了如果我们在无数平行宇宙中同时复制给定的博弈,将会发生什么。
但现实并非如此,每次博弈我们只有一次机会,而我们所进行的博弈的效果不是瞬间的,而是随着时间的推移而复合的。
我们可以从另一个角度来看待它,以帮助调和数学。随着我们不断重复博弈,每次都将资金再投资,只有极少数的路径是正确的,从而产生了天文数字的回报。
随着时间的推移,这些路径在所有可能的路径中所占的比例越来越小,而我们真正看到其中一条路径实现的机会也会缩小到零。
2、4再平衡的价值
面对波动性阻力,即使在预期值为正的情况下,也要将部分资金储备起来。这样,当事情出了问题时,你的损失就会减少,从长远来看,这会增加你的复合财富。
就交易而言,所有这些都会产生一些相当熟悉的概念。当价格上涨时,有时平仓部分头寸以锁定利润,以防价格再次下跌。当价格下跌时,有时,为了以一个有利的价格获得预期的未来回报,抄底是有意义的。
在某些情况下,比如这一次,最佳策略是不断地重新平衡你的投资组合,这样你在每一个头寸上总是有固定比例的财富投资,比如说,一半稳定币,一半风险资产。这并不总是最佳的平衡,一般来说,你希望投资组合中的风险资产越多,其回报率相对于其波动性越高,但我们将进一步的探索推迟到未来的工作。
对长期财富增长进行再平衡的好处可能是巨大的,可能意味着指数级财富增长和破产之间的区别。即使在我们设置的背景下,每一笔再平衡交易的价格都很不利,并造成瞬时损失,这也是事实。
2、5资源
很有可能你对这些解释感到不满意,并想了解更多。
动态 | CryptoCompare:顶级加密货币交易所仅占全球现货交易量的三分之一:CryptoGlobe今日报道,根据加密数据提供商CryptoCompare更新的加密交易所排名,顶级加密货币交易所仅占全球现货交易量的三分之一。CryptoCompare调查了160个现货加密货币交易所发现,顶级加密货币交易所(AA-B级)占全球交易量的33%,而较低级别的交易所(C-E级)则占全球交易量的67%。[2019/11/20]
你可以先回顾一下凯利公式,这是一个基于这些原则的理论上最优的投注策略。@wpoundstone的《财富公式》是一本备受推崇且易于阅读的关于凯利公式历史和含义的书籍。
另一方面,对于财富增长数学的深入研究,我强烈推荐@ole_b_peters的遍历性经济学课堂讲稿或他在《自然》杂志上发表的文章。
如果你选择要自己研究,那你一定要小心,这是一个鲜为人知的领域,在我自己的研究过程中,我发现很多资料来源都有错误,这使我的理解倒退了数小时或数天。
特别是,如果你看到有人呼吁均值回归或对数效用函数,我建议你不要停留,继续前进。这一领域的关键结果不需要假设任何特定的收益分布或效用函数。
2、6费用炼金术
在这种设置下,什么时候成为LP是有益的,LP应尽可能经常地重新平衡,以最小的成本促进再平衡?
然而,当费用完全为零时,再平衡的所有好处都会消失,而且在大多数情况下,LP的境况比他们仅仅持有未平衡投资组合的情况更糟糕。
理解这一看似反常的现象,有助于揭示问题的其余部分。
Uniswap使用“恒定乘积”不变量,这意味着在不收取费用的情况下,每笔交易都必须保持储备金余额的乘积不变。我们将此表述为

,尽管已熟悉Uniswap的读者可能更习惯于将其写成x*y=k。
然而,事实证明,为了实现再平衡,这种乘积C的数字必须增加,以便为我们提供超额的财富增长。
为什么C是如此重要的?我们说

是我们的储备金余额Ra和Rb的几何平均数。与算术平均数一样,几何平均数随着储备量的增加而增加。然而,与算术平均数不同的是,几何平均数随着储备量的失衡而缩小,即使它们的算术平均数保持不变。
在不收取任何费用的情况下,C是恒定不变的,因此交易总是导致更大的储备或更平衡的储备。这两者从来不会同时存在,因此,财富增长没有动力。
然而,在现实世界的Uniswap,或我们设置的环境中,非零费用保证了每次交易C都会增加。随着时间的推移,这意味着储备金不仅在增长,而且还保持平衡,这提供了上面讨论过的好处。
要了解这是如何计算的精确数学,请参阅Martin和我的证明论文的3.1部分。
三、数学
说了这么多,我们现在可以准确地回答Charlie最初问题陈述中提出的问题。
重申一下,他们关注的是Uniswap风格AMM的财富增长率G,其中百分比费率

影响稳定币和波动资产(以几何布朗运动波动,并带有参数

漂移和

波动性)之间的市场。
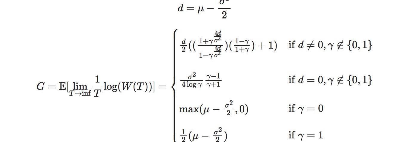
3、1LP财富增长率

3、2最优费用和超额回报
当且仅在以下情况下时,作为一名LP持有一半稳定币和一半风险资产的收益,要超过单纯持币:

在这种情况下,LP应将他们的费用设置为尽可能低但不为零,他们将实现财富增长率逐渐接近
3、3解释
由于几何布朗运动模拟复合增长,它们也受到波动性阻力的影响,其在数学上表示为

,财富增长率为:

这意味着,在

范围内,成为Uniswap的LP,要比

的HODL增长率更有意义。
这给了我们一个观察结果的视角:再平衡使我们能够部分抵消基础资产的波动性阻力。如果没有波动性阻力,平均回报也为零或负,那么再平衡的数量也将无济于事。尽管重新平衡后的投资组合仍会比仅仅持有资产本身做得更好,我们最好还是只持有稳定币。
另一方面,如果没有波动性阻力的平均收益为正:
如果波动性阻力使资产损失超过其平均对数回报的200%,那么在Uniswap上进行再平衡将无法消除足够多的阻力,那你最好还是持有稳定币。
如果波动性阻力使资产损失低于其平均对数回报的66%,那么在Uniswap上进行再平衡是不值得的,你最好还是简单地持有资产。
在这个范围内,成为UniswapLP最终会让你变得富有,事实上,要比你持有任何稳定币和波动资产组成的未平衡投资组合更富有。这既包括一些最终将变得一文不值的资产,也包括一些将呈现抛物线增长的资产。
3、4证明
关于完整证明的预印本论文你可以在
这里找到。它的工作原理是为离散随机游走建立动力学模型,然后在将步长缩小到零时采取行为限制。
你也可以查看我为零对数漂移情况的原始证明,并在此处进行一些问题模拟。
3、5我们应该对这些研究结果给予多少信任?
在我个人看来,这是非常可信的。
我们有两种独立的证明方法,而它们在域重叠时会产生相同的结果。我们还有一些模拟可以验证我们的预测:
模拟与预测的财富增长率。
尽管如此,这仍然是一个非常令人困惑的领域,在过去的几周中,我对它的理解已经发生了许多次变化。如果你确实发现了错误,请随时与我们联系。
四、未来的工作
尽管我们希望你同意这些研究结果在理论上是有趣的,但仍有大量的工作要做,以确定它们与现实世界的相关性。
例如,我们的许多假设可以修改或扩展:
如何将这些结果转化为多资产案例,或者什么时候LP可以选择像Balancer那样的50/50以外的比例来重新平衡?
当我们不再允许每单位时间进行无限交易时会发生什么?
当我们引入交易成本,而其甚至可以变化以反映优先gas拍卖动态时,会如何呢?
还有一些实证问题:
我们能为今天市场上的证券类交易估计这些参数吗?
有多少积极交易的代币,可以从我们描述的这种再平衡策略中受益?
我们能否确定由于波动性收益而在现实中实现UniswapLP回报的比例是多少?
最后,也许是最有趣的是。我们如何才能将在此学到的知识用于改进现有协议,是创建一个新的协议,还是作为一个整体来发展DeFi生态系统?
五、让我们来一起讨论
有什么问题?想法?潜在的应用?
我们想要听听你的声音。
@_charlienoyes●@danrobinson●@_Dave__White_●@MartinTassy
感谢VitalikButerin、MattHuang、GeorgiosKonstantopoulos以及AlexEvans为本文提供的意见。
美国国税局通过在2020年新版1040号税收表格顶部添加一个新的问题,使纳税人更难隐瞒加密货币交易所得.
通过主动推送的方式,用户不用记自己的卡号,只要点一下按钮,输入密码和验证码就可以完成支付本文来源:北京商报,作者:岳品瑜?刘四红继深圳之后,苏州版“数字人民币消费红包”也来了.
来源:国家区块链漏洞库 近期DeFi安全事件频发,国家区块链漏洞库收录的安全事件包括shroom.finance项目增发无限代币、Unicats项目授权攻击、Balancer项目攻击事件、Akr.
ETH2.0信标链正式启动,ETH币价再次攀升到600美元附近,显卡价格跟风飙涨,参与者唱多者甚多。但ETH2.0的到来,也为显卡挖矿的回本情况带来了不确定性.
原标题:《疯狂合作背后:YFI创始人的DeFi小宇宙》自从宣布即将推出YearnVaultsv2以来.
12月5日至6日,“相信未来--2020世界区块链大会·武汉”在武汉国际会展中心正式开幕。大会由巴比特主办,并得到了武汉市政府、江汉区政府、武汉市经信局、中国信通院等部门单位的大力支持.