导读
数字货币本质上是一串特殊的字符串,可以无限复制。如果一名矿工短暂控制了超过50%的算力,向交易所发起转账,同时把同一笔数字货币转账给自己。因为手头有足够的算力,所以两笔交易都被写进区块,成为合法交易,这就是“双花攻击”。
比特币网络自诞生以来并稳健运行至今,已证明:在没有结算中心的对等网络,点对点交易也能拒绝双花攻击。所有的比特币交易记录都被保存在区块链上,2008年在中本聪描述比特币原型的论文里提到,他使用了一种名为梅克尔树(MerkleTree,缩写MT)的数据结构对每一个区块里的所有交易做一次简略记录,梅克尔树能够用较少的字节去表达极大量的信息。
梅克尔树的结构是个满二叉树,因此要求交易数量必须是2n。中本聪通过引入“无效却必要的”多余信息来解决这个问题,所付出代价是此多余信息可能会被攻击者利用,实施双花攻击。
本文先介绍梅克尔树的基本结构,生成节点的规则,然后用一个例子来说明如何为比特币交易构造梅克尔树,最后解释了比特币如何通过UTXO的唯一编号来避免因梅克尔树可能引起的双花威胁。
Blockchain Center CEO:加密货币将使一些银行服务“无关紧要”:金色财经报道,Blockchain Center 首席执行官Tadas Maurukas在接受Finbold的独家采访时表示,很高兴看到监管机构正在积极讨论有利于该领域所有参与者的解决方案,而不是像 2017/2018 年那样无视它。鉴于最近区块链和加密技术最近受到的所有关注,他表示当局“更加认真地”对待它并不奇怪。Maurukas 还分享了他对银行的看法,以及他们将如何应对未来的加密竞争。Maurukas表示,从长远来看,一些银行提供的服务将变得完全无关紧要,加密货币鼓励用户成为自己的银行并为自己做出艰难的决定。(finbold)[2022/3/24 14:14:20]
知识点1:
哈希函数是由数学家或者密码学家精心设计的一种数学运算规则,它可以输入任意长度的数据,而输出结果(即哈希值)的长度保持不变,并且满足:
1)单向运算:只能计算输入得到输出,不能逆向计算输出得到输入;
2)冲突避免:无法找到两个不一样的输入,而它们的哈希值却相同。
观点:此时BTC盘整期是ETF审批阶段的“无聊”前奏:The Crypto?Lark主持人、加密投资者Lark Davis今日发推称,这段比特币区间盘整时期是比特币ETF审批狂热阶段的“无聊”前奏。[2021/5/16 22:07:43]
哈希函数可以说是区块链最最核心的技术之一,另外一个是非对称加密。正是这二个性质确保了比特币像黄金一样难以获得,经过大量的运算才能得到某个正确的哈希值,使得该哈希值比其它字符串更加珍贵,从而获得价值属性。这是哈希函数在比特币挖矿中的应用,但这并不是本文的重点。
知识点2:
梅克尔树又被称作哈希树,因为在这种树状数据结构中,每个节点的标签(或称作值)都是一串哈希值。按照从左向右的顺序,将所有子节点的哈希串联成一个新的长字符串,结果作为哈希函数的输入,经计算得到父节点的标签。
哈希树的概念得名于RalphMerkle,他在1979年9月5号提交文件申请注册了该项专利。当然,等到中本聪使用梅克尔树作为比特币的底层数据结构时,此专利保护期已经结束了。不然的话,中本聪得向梅克尔先生支付专利授权费,这样做也许他的身份就被曝光,而整个区块链行业都需要缴纳一笔不菲的费用。
广州市南沙区:利用区块链等技术打造“无证明自贸区”:4月29日,中国(广东)自由贸易试验区五周年发布会首次在线上召开。广州市南沙区政务服务数据管理局局长徐燎原表示,南沙提出打造全国首个“无证明自贸区”,“在全面清理证明事项的基础上,利用‘大数据+AI’、区块链科技手段,通过直接取消、数据查询、部门核验、告知承诺并加强事中事后监管等4种方式来分类实施改革。”(光明日报)[2020/5/4]
另外多说一句,比特币并没有凭空创造任何新型技术,而是巧妙地使用了若干个已有的密码学工具,组合之后便是区块链这种从未见过的系统。这种创新需要极强的系统性思维,往往独自一人很难拥有这般思考的深度和广度,也就有人推测中本聪其人背后其实并不是某一个人,有可能是一群密码学专家。
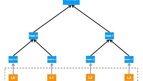
梅克尔树的基本结构
言归正传,梅克尔树是一棵满二叉树,其结构如图所示。

每个叶子节点的标签都是其所记录内容的哈希值,而将两个兄弟节点的标签串联起来,作为哈希函数的输入,经过计算得到父节点的哈希,如此重复直到最后只剩下一个节点,即根节点,又称作梅克尔树根。
动态 | 国际财务报告准则解释委员会定义加密货币为“无形资产”:国际财务报告准则解释委员会(IFRSIC)裁定,包括比特币(BTC)在内的加密货币既不是金融资产也不是法定货币,而是“无形资产”,加密货币被定义为“无实物的可辨认非货币资产”。IFRIC是一个非营利性国际组织,其制定会计准则,该准则在140多个司法管辖区中被强制执行。(Cointelegraph)[2019/9/23]
中本聪设计了一种区块结构,其区块头的某个字段就是梅克尔树根。梅克尔树根源自区块里记录的每一笔交易,交易可以理解成转账,例如类似「A转给B某某数额的比特币」的格式。将有着固定格式的一笔转账记录做序列化之后,就能作为输入tx,交由哈希函数运算,得到的结果就是叶子节点的标签L。
L=Hash(tx)
而每二个叶子节点的哈希,便可以串联起来作为输入,得到父节点的哈希P。
P=Hash(L0+L1)?//'+'meansconcatenation
区块可以记录的交易内容长度有限,在中本聪的设计里,严格限制了一个区块内所有交易的总长不超过1MB。而交易的长度又随交易的复杂度而变化,可以简单理解成越复杂的交易,其内容越长。为了有效利用区块,挣更多的手续费,矿工们总是希望尽可能往区块里面记录更多的交易。
声音 | Riccardo Spagni:BAT ToS允许窃取“无人认领”的BAT:据thenextweb报道,Monero核心开发人员Riccardo Spagni表示,Brave的负责人可能无意中赋予了自己“窃取”无人认领BAT令牌的能力。Spagni称:“BAT ToS允许他们在90天后窃取‘无人认领’的BAT,但他们也可以使用Sybil攻击调查和KYC / AML(了解你的客户/反)借口来阻止用户在90天内申领BAT,他们基本上是黑手党。”[2018/11/24]
观察梅克尔树的结构,可以发现其总是一棵满二叉树,这意味着叶子节点的数量总为2n。当待记录的交易数量不足2n,又或者等于2n?时所有交易的总长度超过1MB限制,此时区块能够记录的交易数量不能恰好等于一棵满二叉树的叶子数量。这种情况出现时,该怎么计算梅克尔树根呢?
中本聪如何为比特币交易构造梅克尔树?
以一个简单的例子来说明这个问题。
假设某区块里面记录了一共5笔交易,那么其初始叶子节点仅有5个。每2个叶子节点生成1个父节点,在产生父节点的过程中,却遇到了最后1个叶子节点没有兄弟节点的情况,这时候需要构造出来另外一个节点与其匹配。中本聪的做法是:直接重复该节点本身作为其兄弟节点,然后再按照前述方法得到父节点。这个重复的节点,就是原始交易记录里没有但是梅克尔树上却存在的多余信息。
此时,在梅克尔树结构里面出现了3个父节点,然后再依据这3个节点继续往上构造父节点。同样的问题又出现了,这一层仅有3个节点,最后1个节点必须重复自身以满足兄弟节点成对出现的要求,这样又出现了新的多余信息。最后,再高一层又出现了2个父节点,继续合并,得到最后唯一的节点,即根节点。
在交易数量为5的情况下,由此构造出来的梅克尔树的结构如下图所示。

比特币如何避免
因梅克尔树可能引起的双花威胁?
中本聪的这种做法也许会让读者产生疑惑:既然最后一个叶子节点会被重复,从其父节点的角度看,它有两个具有相同哈希的叶子节点。根据哈希函数的冲突避免性质可以判断,此二个叶子节点所代表的内容完全相同。也就意味着,假设区块里面还能再添加一笔完全相同的交易记录,计算得到的梅克尔树根的值保持不变。这种做法岂不是会导致双花攻击的问题?
比特币网络是如何避免不诚实节点故意在同一区块内记录完全相同的二笔交易?这个疑惑需要借助比特币交易的基本单位UTXO来解释。
在比特币网络里面,并没有「账户」这种东西,也就没有所谓「余额」等衍生概念,因此无法像传统银行系统一样,通过检查账户余额来判断用户有没有可继续花费的资产。所有的比特币都是以UTXO(UnspendTransactionOutput)的形式存在,交易消耗已经存在的UTXO(称作输入,Input),产生新的UTXO(称作输出,Output),被消耗的UTXO便不再有效。
每一个UTXO都拥有一个锁定脚本(ScriptPubKey),用来保护该UTXO不会被除了其拥有者以外的其它人使用,目前还没有人可以解锁不属于自己的UTXO。UTXO能被花费的前提条件是,其锁定脚本被正确地解锁。通常某UTXO的锁定脚本会指定其拥有者的公钥信息,当该UTXO被花费的时候,只有出示与该公钥匹配的私钥所生成的数字签名,即解锁脚本(ScriptSig),才能成功解锁UTXO。
在比特币的设计中,使用交易ID和UTXO在该交易的输出序号来作为UTXO的唯一标识,所有可用的UTXO都保存在一个名为UTXOset的数据集合里面。
这意味着,可以实现:将每一个还未被花费的UTXO都存储在数据库里并向全网公开,将已经被消耗的UTXO销毁并从数据库中删去。那么当攻击者故意构造第二笔交易并试图再一次花费相同的UTXO时,会发现无法在数据库中找到拥有相同ID的那个UTXO。这就相当于,某人花掉了手中真实存在的物理货币以后,便没法再使用一遍。
因为每个UTXO都拥有独一无二的标示,所以在一个区块内,节点很容易判断每笔交易所消耗的UTXO是否相同:如果存在两笔交易的输入为具有相同ID的UTXO,即能判断第二笔交易无效,此区块无法被诚实节点验证通过。
因此,虽然梅克尔树在交易数量不等于2n的情况下,理论上会出现重复哈希值的问题,但实际中在真实区块里面无法再伪造具有相同内容的交易,双花问题得到避免。
注:以上图片来自于Onchain
参考资料:
?比特币原始论文?Bitcoin:APeer-to-PeerElectronicCashSystem
?梅克尔树原始专利文件
本文由PolyEnterprise团队出品
20/21DeFi复盘与展望:新兴价值网络崛起和华尔街接口之潜力 链闻ChainNews 刚刚 30 2020年初夏.
原标题:《谁能跑赢比特币?》对于币圈而言,赚钱像呼吸一样简单的日子又回来了。比特币不断突破新高,从20000美元涨到35000美元用了不到1个月的时间;以太坊已经站稳在1100美元以上,而2个月.
来源:贝果财经 从区块链热潮的开启,经过大量企业对外宣告区块链布局到如今,部分企业“跟风”布局的区块链项目已没有最新进展公布,“大浪淘沙”之后,区块链的产业落地进入下半场的发展.
“流动性挖矿浪潮的发起者,DeFi项目YamFinance在发布2021年发展路线图中指出,计划于2021年1月与TokenSets合作启动针对DAO用户及零售用户的投资产品YamDAOSet.
主要内容: 1.2020年,TheBlockResearch团队已发展到拥有8名全职分析师。2.本文是各位分析师对2021年的预测.
如果人们相信比特币的价值,那么即便在这条价值道路上发生几次崩溃和颠簸,其实也是正常的。事实上,从长期来看比特币应该会保持上涨趋势,即便许多人认为其中存在泡沫,但正如乔治敦大学金融学教授詹姆斯·安.