尽管过去十年中,区块链技术在适应新用途方面创新迅速,但除了基本和高度抵押的形式,金融中介仍然难以找到。真正的区块链原生金融应用的前进之路必须涉及现实世界身份信息的整合,以抑制违约行为的发生。本文讨论了几种可能实现此目的的技术,并得出结论,这种集成是可以实现的,而不需要牺牲假名,前提是真实世界的身份是可用的。
摘要
尽管过去十年中,区块链技术在适应新用途方面创新迅速,但除了基本和高度抵押的形式,金融中介仍然难以找到。我们引入了技术前沿的概念,以划定可以在假名代理(如区块链)之间以算法结构化的各种交互,并表明,贷款和金融中介与货币交易不同,即使是以简单形式存在,也不属于技术前沿。因此,真正的区块链原生金融应用的前进之路必须涉及现实世界身份信息的整合,以抑制违约行为的发生。我们讨论了几种可能实现此目的的技术,并得出结论,这种集成是可以实现的,而不需要牺牲假名,前提是真实世界的身份是可用的。
介绍
金融在现代资本主义经济中发挥着关键作用。通过杠杆发行承诺支付贷款的能力,不仅促进了资金的有效流动,而且稳定了总体经济活动。至少从1873年起,促进金融中介就被认为是国家货币的一项重要功能。如果加密货币要从国家货币手中接过重要的角色,它们就必须至少像国家货币现在所做的那样。
加密货币基于被称为区块链的去中心化分类账,这种技术允许不了解或不信任彼此的各方就规范分类账状态达成一致,从而在交易对手风险最小的情况下转移资金,换句话说,以无信任的方式进行转移。最近,该技术通过智能合约或去中心化自治组织(DAO)得到了增强,这是一种通过算法控制货币转移的方式,而且可能完全不需要人工干预,同样,目标是在不了解或不信任彼此的各方之间最大限度地降低交易对手风险。
尽管智能合约和DAO大大增加了无信任方之间可行的互动范围,但迄今为止,金融资金的借贷除了以简单和高度抵押的形式存在之外,一直是难以捉摸的。Harwick认为,杠杆融资带来了不可减少的对手风险,对这种风险的管理要求借款人使用一个公开的、不可转让的身份。由于区块链上的身份被假名和易于退出所掩盖,也许,加密货币将无法与国家货币竞争,将有很高的障碍阻碍建立加密货币计价的信贷市场。
这个问题的解决方案可以从两个方面进行,既不相互排斥:技术创新和制度创新。一个纯粹的技术解决方案,如比特币作为基础货币,将构建借款人和贷款人之间的互动,使他们可以在不了解或不信任对方的情况下进行金融交易。这将是可能被称为去中心化自主金融的圣杯。
调查:大多数人根本不知道Web3是什么:金色财经报道,在民意调查公司YouGov与以太坊软件公司Consensys最近进行的一项调查中,全球各地的人们被问及他们对新兴技术的认识、他们对互联网经济状况的看法。调查发现,即使听说过,也没有多少人知道Web3是什么。在4月26日至5月18日期间对15个国家的15,000多人进行了调查。他们被问到了32个问题,与Web3、加密货币以及他们对当前互联网生态系统的看法有关。调查显示,全球24%的受访者表示至少了解Web3,但只有8%的人表示非常熟悉,16%的人表示有些熟悉。相比之下,37%的人表示他们根本不知道Web3。[2023/6/28 22:04:25]
另一方面,原则上,任何用于中介法定货币的融资方法也适用于中介加密货币,只需将账户单位和赎回媒介改为加密货币,但在其他方面保留了传统上用于管理金融交易中对手方风险的机构。这将是一个纯粹的制度性解决方案,我们将许可区块链的使用归入这一类别。尽管区块链资产作为媒介,但这种交易缺乏无信任、假名或去中心化的好处。因此,它们既被视为与区块链精神格格不入,也尚未令人信服地展示出与现有金融形式相比的明显优势。然而,与纯技术解决方案不同,通过与现状的金融安排进行类比,解决交易方风险问题的制度解决方案的可行性至少是明确的。
本文从理论上确定了支持分权型自主金融的技术解决方案的局限性。如果纯粹的DAF是不可能的,这也将表明最小的链下信息,特别是身份信息,对任何给定的金融技术的可行性是必要的。例如,加密货币的存在表明,在正常情况下,电子基础货币和支付系统可以不受信任地管理。因此,基本货币和支付系统完全处于技术创新的前沿,也就是我们所说的技术前沿。另一方面,现代经济目前依赖于许多技术之外的融资方法。这需要在技术创新的基础上进行一定程度的制度创新。换句话说,区块链的金融将需要发展链外规范和结构来补充区块链的技术架构。在技术前沿领域,技术创新已被证明是许多制度形式的有力替代品。然而,在前沿之外,技术和体制创新必须继续作为不可或缺的补充。
论述
激励相容性和技术前沿
一个互动类型的激励兼容性是在一个特定的环境中定义的。也就是说,其可行性取决于参与者的身份信息和战略行动。如果一种互动类型在某种环境中为某一方提供了通过减少总回报来增加自己的回报的激励,我们将说它有两难的方面。困境方面可以通过改变环境来克服:例如,重复交易和外部执行是常见的补救措施。然而,如果人们要扮演相关的角色,可行性取决于以这种或那种方式克服它们。
周小川谈比特币:要搞清楚对实体经济的好处是什么:中国人民银行前行长周小川表示,不管数字货币还是数字资产,都要为实体服务。“我们经历过2008年的全球金融危机,发现金融脱离了实体,比如影子银行、衍生品这些纯粹变成了金融机构之间的投机交易,和实体没有联系了,就容易出问题,以至当是一些国际大行的领导、交易员们看不懂,很难做好内部控制。“
周小川表示,要区分数字货币和数字资产,对于比特币这类数字资产,并非现在要下结论,但是”要提醒,要小心“,在中国,金融创新的东西都要说清楚它对实体经济的好处”。[2021/4/19 20:34:00]
我们将技术前沿定义为在一个环境中激励相容的互动类型,这些交互类型在一个基于显式算法规则的交互结构的环境中是激励兼容的,并且没有任何可信的外部信息或强制执行。首先,这将重新要求每个角色中的绝大多数用户在任何时候参与的预期价值都是正的。根据假设,如果保持约束的预期价值低于零,用户总是有放弃网络并重新加入的外部选择。因此,任何执行都被限制在用户自愿提供的价值上。
如果我们把这种环境解释为区块链网络和可能的智能合约的组合,技术前沿将是原则上可以由区块链或DAO以无信任形式复制的互动类型的集合,换句话说,在链上管理。因此,去中心化的自主金融是指在这种环境下进行借贷的能力。外部信息和执行将被称为链外。
我们定位了与技术前沿相关的四种基本金融类型:(1)货币交换,(2)直接借贷,(3)可交易证券,(4)由部分储备货币发行资助的借贷。为此,我们对每一项都要问:支持它需要多少信任?
货币交换的激励兼容性
货币交换的一个主要功能是协调收入和消费的分离,使消费可以在收入之前进行,而个人消费者不需要携带商品库存。另一方面,金融协调收入与消费的分离,使消费可以先于个人消费者的收入。后者所涉及的问题在根本上与前者不同。然而,尽管后者所涉及的问题在趣味上与前者不同,但它们在形式上是足够平行的,因此我们可以有效地将货币交换视为我们的"无金融"基准。
为了看到在不存在操纵可能性的情况下货币交换的激励兼容性,重要的是--在造假导致的损失足够低的情况下--参与货币交换网络是一种协调博弈,其中帕累托最优是纳什均衡,而且在广泛的环境中都是如此。货币是一种网络商品,最佳策略是采用最有可能被接受的货币,即已经被大多数人采用的货币。虽然这个过程确实使像比特币这样的利基货币的存在成为一个难题,但它也确保了内生性的破坏没有什么机会。"变节"——通过拒绝接受货币来破坏货币体系。对叛逃者的伤害大于对系统的伤害。反复的交易,现实世界的身份,甚至根本不存在的身份,对于网络的运作都是不必要的。
孙宇晨:比特币什么时候买都是对的:孙宇晨今天在推特表示,比特币,又涨了。什么时候买都是对的。[2020/7/28]
由于这个原因,货币交换完全处于技术边界之内。区块链协议利用导致人们首先加入货币网络的那种网络效应,诱使用户批准构成货币单位的信息,作为加入网络的前提条件。因此,货币交换完全处于技术前沿。首先,引导人们加入货币网络的网络效应被区块链协议利用,诱导用户认可构成货币单位的信息,作为加入网络的先决条件。
对于货币交换的另一方,即货物的交付,则未必如此。当货物不能立即转移时(如必须运送),货物的激励兼容性对环境更敏感。然而,互补的链下机构,如争议解决和声誉机制正在围绕区块链生态系统发展。稍后,我们将考虑支持时间分离金融交换所必需的类似机制。尽管加密货币在技术前沿取得了令人印象深刻的成就,但在一些重要的经济利润方面,加密货币仍然表现不佳,最重要的是它们的购买力缺乏稳定性,驱动这些波动的是非个人的供需力量,而非投机的发行者,这一事实对货币使用者本身几乎无关紧要。在现代市场经济中,货币交换制度必须辅之以金融中介,调解货币借贷,不仅是为了促进跨期交换,也是为了确保价值的稳定性。换句话说,一个有效的货币体系需要的不仅仅是提供一个基础货币和支付系统。虽然存在区块链中介的雏形,但目前还缺乏一个强大的市场。
链上证券化
本节表明,链上证券化的激励兼容性,即在二级市场上转售承诺支付——要求买家和发起者之间具有类似的身份负载环境。假设这种环境是贷款人与借款人互动的特征,从技术上讲,这是在二级市场上转售承诺支付的一小步,即在区块链上建立证券。作为债权人,我只需转让我在ETHLend智能合约中的股权,该智能合约就会成为一种证券,成为借款人的流动负债,而不是两个具体当事人之间的安排。证券化引入的新问题是:在什么情况下,第三方买家会觉得值得购买贷款人在智能合约中的股权和它所代表的收入流?
为了关注贷方和买方之间的困境,我们在这里假设借款人可以违约,但必须诚实。因此,有必要说明借款人的收入情况,所以我们放弃他总是能够偿还的假设。相反,借款人借钱是为了资助一个项目,这个项目要么产生足够的收入来支付费用,在这种情况下,借款人还款,要么不产生收入,在这种情况下,借款人诚实地违约。
我们可以认为这两种结果代表了两种类型的借款人,每个借款人都有动机向贷款人积极陈述自己,而不考虑自己的预期。因此,贷款人在每个申请者身上花费一定的金额,以确定借款人属于这种类型的概率。如果贷款人从事前违约率为d∈[0,1)的借款人连续体中随机选择借款人,我们可以将i定义为每个受资助的借款人收集足够信息以选择项目的平均成本,这样预期的诚实违约率为d/15。
声音 | 多位议员Libra听证会后接受采访:没有看到取得什么进展:在美国国会众议院金融委员会关于Libra的听证会结束后,众议院两党议员都对冗长的证词表示了不满。众议院金融委员会的成员表示,并没有看到(扎克伯格出席听证)取得了什么进展。该委员会高级成员、北卡罗来纳州共和党人Patrick McHenry表示:“坦率地说,我不确定我们在这里学到了什么新东西。”该委员会的其他几位成员也同意这一观点。德克萨斯州民主党众议员Sylvia Garcia也发表了类似于McHenry的评价,她还对Facebook及Libra协会这两个实体是分开的说法提出了质疑。该委员会主席Maxine Waters则表示,她根本不支持这个计划,不明白Libra想要达到什么目的,且项目也没有得到“充分的解释”。Waters称:“我要求Libra暂停工作。扎克伯格也承诺,在没有监管机构批准之前,他们不会启动这项计划。但她‘不太确定’这是同一回事。”(CNBC)[2019/10/24]
回到一次性博弈,贷款人从持有贷款到到期的预期利润将是:

而他在打算持有时的利润最大化的信息投资是:

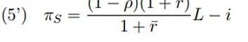
然而,假设贷款人有机会在公开市场上将贷款作为一种证券出售。在这种情况下,贷款人的利润将是:

其中,ρ∈是买方对收入流占未来价值L的比例的期望,rˉ<r是相关时间段的无风险市场利率。因此,第一个条款是贷款在二级市场上的市场价格。然而,问题在于i是贷方的私人信息。即使买方可以核实我所花的金额,他也不能告诉这些钱是否用在有效收集信息的方式上。在一次性环境中,来自匿名来源的证券买家无法验证潜在收入流的预期价值。因此,我不影响市场价格,和利润最大化的信息。买方知道这一点后,将ρ=1,而均衡市场价格也是0。市场价格也为零。在这种环境下,由于πS<πH,对于所有的i,贷款人更愿意持有贷款到到期,没有二级市场的发展。
声音 | 清华大学教授韩峰:Libra现在是锚定货币或者资产,性质跟支付宝没有什么区别:据央广网报道,清华大学教授韩峰表示,Facebook这样的公司一旦介入数字货币领域,将会带来全球性影响。首先反应是怕失控了,因为传统逻辑都是政府的央行发行货币,但是从比特币开始挑战了这个逻辑,是靠一种加密算法,很多家想封杀它,但是事实证明封杀不了。突然Facebook又跳出,这么一家体量如此大的公司,它至少有27亿用户,理论上它可以汇通全球所有的货币,因为它并没有实质性障碍。Facebook至少现在还是锚定一些现实的货币或者资产,比如锚定美元,它大概就会做这种选择。它的性质跟支付宝没有什么太大的区别,支付宝也是锚定人民币,银行存人民币,然后支付宝里出现所谓的数字。如果是这种性质,美联储应该不用太紧张。[2019/6/24]
从一次性匿名环境到有声誉的多次匿名环境的转变,与直接借贷模式完全类似:贷方与买方之间的关系与借款人与贷方之间的关系是一样的,借款方用现有的钱换取偿还的承诺,不同的是他是在转售另一个人的承诺,而不是自己的承诺。尽管如此,由于违约是有概率的,买方不能使用触发策略,而是必须更新他对贷款人误报违约概率的可能性的评估。因此,贷款人的“诚实条件”更不可能持有。
现实世界中的二级市场由一些机构提供担保,这些机构都不明显处于技术边界内,但其中许多机构都可以采用混合解决方案。首先,信用评级机构对证券的收入流进行外部审计以评估违约概率,从而为贷款人的估计提供可信度。这并不排除系统性的错误,就像2008年,抵押贷款支持的证券下的抵押贷款被证明比预期的更具有周期性的相关性。然而,据任何人所知,这不是一个机会主义的例子。事实上,尽管一个给定的风险模型可能足够客观--因此可由区块链证券上的智能合约执行--但酌定权在两点上进入了。(1)输入风险模型的数据,以及(2)风险模型的开发和选择,这两点都无法有效地通过算法来选择。
其次,虽然区块链降低了信息传播中的交易成本,但不能指望它们会降低信息生产中的规模经济。大银行的声誉比小银行的声誉更有价值,因此在一定程度上,在金融公司中观察到大量的市场整合。大规模的假名金融公司是可以想象的,即使不太可能,但即便如此,这也使我们离小规模贷款人在公开市场上发起和交换证券的脱媒形象相当遥远。
最后,如果出现机会主义,贷款人和评级机构都有可能受到法院的酌情制裁。正是由于贷款人歪曲相关信息的动机,以及买方无法看穿贷款人事后的合理推诿,才有必要采取涉及各方都没有明确提出的价值的酌情和非算法行动。
因此,区块链证券二级市场的流动性可能比区块链极端主义者所期望的要“传统”得多。特别是,它可能涉及使用智能合约的大规模非匿名中介,但并不排除传统的法律合约。虽然算法治理在技术边界是一种可行的替代决策,但在技术边界之外,它们仍必须是补充。在这种情况下,与常见的"代码即法律"的口号相反,恰恰是法律的非算法性质使其比代码具有比较优势。
杠杆与流动性承诺
最后一种类型的金融将使加密货币与国家货币的功能等同,即以货币形式支付的杠杆承诺的流通。在加密货币市场,鉴于与国家货币相比的高汇率和购买力波动,这种反周期力量是至关重要的,不仅有利于稳定支出量,以应对货币需求的变化,还可以将货币供应的变化分布与需求的初始变化模式相匹配。
加密货币领域的新发展有可能避开技术和意识形态方面的障碍。对于有需求弹性的货币供应,以及稳定的货币来说,重要的不是部分储备银行业务本身,而是发行具有足够流动性的杠杆债务工具,使其能够替代货币并作为货币流通。目前,银行存款为现有的国家货币提供了这一目的,但任何将证券二级市场崩溃为货币余额市场的发展都足以满足需求弹性货币供应的目的。比特币区块链上的"闪电"网络是一个很有前途的范式。
闪电网络起源于一种降低交易费用和验证时间的方法,这两种费用都随着兴趣波的增加而增长,从而堵塞了比特币区块链有效处理支付的能力。其想法是使用智能合约在双方之间打开一个标签。智能合约将标签与区块链的交易验证过程隔离开来,只有当双方关闭他们的关系时,才向更大的区块链广播(并最终确定)各自的余额。鉴于向区块链广播交易在费用和时间上都很昂贵,用这种方式跟踪双边收支可以提高效率。
从金融的角度来看,闪电网络的有趣之处在于,它所记录的余额对区块链来说是可读的,但没有反映在最终的余额中。换句话说,从典型的区块链账本的角度来看,它们是支付的承诺。
话虽如此,闪电式智能合约在其金融应用方面仍有局限性。对交易对手风险敞口最小的理念,限制了各方事先将固定金额纳入合同,然后可以在链外更新该金额的划分。如果选项卡超过了设置的金额,就必须设置更多的资金,这就需要额外的链上操作,从而抵消了选项卡模式的速度和成本优势。
然而,通过可行的技术扩展,类似于"闪电"的智能合约可以为去中心化创建杠杆货币区块链工具提供支架。如果有可能承诺比智能合约中的抵押物更多,那么闪电合约作为支付承诺的限制将被克服。没有必要事先将流动资产投入到贷款中,贷款的数量将以通常的方式对货币需求做出反应。
与目前完全抵押的区块链融资方法相比,灵活的闪电合同将具有以下优势:
1.允许系统根据预期的变化,通过提供可销售的工具来创造流动性,而不是简单地转移固定的流动性存量。
2.允许个人利用预期未来收益的资本化价值,而不是简单地转换当前持有的资产。
3.稳定货币的价值,因为杠杆负债的总供应量会调整以抵消对货币单位的需求变化。
然而,这将以一个完全不可信的体系为代价,并允许违约的可能性。具有上述优势的系统必然会使贷款人暴露于交易对手风险中。换句话说,我们已经从支付领域转移到金融领域。在金融领域,消除交易对手风险也消除了任何融资方法处理未来不可减少的不确定性的能力。融资在不确定性条件下支持生产和组织的必要方法必然涉及违约的可能性。具体来说,为了使杠杆承诺的二级市场(如前一节的非杠杆承诺)可行,链下制裁和仲裁(通过或有假名实现)将是必要的。没有抵押品或链下制裁和仲裁,假名贷款市场就无法运作。
现有的和历史上的机构为这些潜在问题的可行解决方案提供了线索。然而,如果认为区块链上的类似机构必须在所有方面都反映传统机构,那将是缺乏想象力的。虽然很难预测创新的确切路径,但与现有的部分储备金金融机构相比,不受约束的闪电合约将提供一些优势:?
1.透明度高:在公共账本区块链上,任何贷款人转售支付承诺的资产负债表都是公共信息。即使账目反映的是面值,而不是更有经济意义的"按市价计价",监控中间环节的成本也会大大降低。
2.去中心化:与区块链账本的物理去中心化完全不同,该技术还可以使市场去中心化成为可能。监测和收集信息的成本与中介机构的数量成正比,因此监测成本高且不断上升可能是最近金融市场集中化的一个重要因素。为了应对日益复杂的金融和日益困难的消费者监督,政府已经施加了越来越严格的报告和资本要求。如果这些重新要求带来了巨大的固定成本,较小的公司将被赶出市场。因此,监测和报告成本的减少将合理地降低市场集中度,使众多的小公司能够在市场上生存。因此,监督和报告成本的降低将合理地减少市场集中度,使众多的小贷款人能够通过发行以其流动储备为杠杆的流通负债来为其贷款业务提供可靠的资金。
3.竞争:由于广义货币供应对需求变化的反应取决于市场对金融中介机构的竞争力,金融公司日益集中需要更积极的货币政策,根据银行货币数量的变化能够有效满足的需求变化调整基础货币的数量。另一方面,一个更分散、更具竞争性的金融市场,似乎可以在基础货币水平上不存在任何自由裁量权的情况下运行,对需求的调整完全取决于杠杆负债水平。例如,Friedman考虑了在竞争环境中冻结货币基础或其扩张速度,并将弹性货币供应的责任分配给更广泛货币发行方的可能性。Selgin明确指出了这一论点与固定供应路径加密货币的相关性。
在宏观经济层面上,比特币和其他加密货币的外生供给路径没有提供任何手段来抵消日常需求变化导致的价格波动。在微观层面上,用户无法根据预期的未来回报获得流动性,这使得生产机会成为可能。
结论
金融是货币经济的重要组成部分,而交易方风险的量化、缓解和转移是金融的组成部分。在纯粹的基础设施层面,加密货币有可能比现在的国家货币更有效地发挥货币和金融功能。然而,我们已经表明,对于技术前沿之外的互动,纯技术解决方案是不够的。因为金融涉及到不可复制的两难问题,即使是简单和直接的形式,也不能纯粹以算法或在假名环境中完成。纯粹去中心化的自主金融归根结底是空想。
因此,如果要充分实现区块链在金融技术方面的潜力,企业家必须能够用现有的自由裁量和身份承载的社会机构来补充技术基础设施,这些机构已经发展到解决金融所带来的各种困境。消除对手方风险的理念必须辅之以透明地管理对手方风险的能力。
我们已经论证了oracles为这种整合提供了一个合理的基础。金融中介通过oracles,闪电合约也有可能确保杠杆承诺和基础货币之间的可替代性,这对于一个功能性的、价值稳定的加密货币来说是必要的,这种货币虽然不是纯粹的自治——仍然不受主动管理的影响。我们希望,通过展示"可信赖的"机构对于有效解决金融中固有的社会困境的必要性,本文将为未来区块链金融问题的创业解决方案指明方向。
作者|?CameronHarwick、JamesCaton
编译|马吉娟
XCLAIM是一个加密资产无需信任的高效跨链交换框架。XCLAIM允许创建由现有加密货币1:1支持的资产,无需信任中央运营商。该框架广泛适用于加密货币.
区块链是一个去中心化账本,账本记录的是数据,不过在浏览器里看到的是,交易打包成块后,交易数据都变成了哈希。在以太坊的erc20协议作用下,我们可以看到转账交易等这些基础数据.
从历史角度而言,以太坊的Gas费用曾三次飙升至天文数字的高度:2017年的牛市期间、2020年的DeFi之夏以及2021年的NFT之夏.
2021年12月17日TheBlock发布了其163页的2021年年度报告,用图表和数据总结了BTC、ETH、DeFi、DAO、NFT、机构采用、加密投资、L1/L2、监管等在2021年的发展.
作为近期科技领域里最热门的话题,元宇宙的存在让无数公司有了吹嘘自己的技术储备和技术布局的机会,在AMD、英伟达等半导体领域的巨头陆续宣布与元宇宙有关的消息,并且带动股价暴涨后.
什么是ETH2.0,为什么人们要期待ETH2.0?自2020年以来,以太坊上的DApp得到了蓬勃发展,目前以太坊上DApp的数量已经达到407.