作者: Vishal KanKani、Tushar Jain 编译:Luffy,Foresight News
当前,几乎所有的权益证明 (PoS) 网络都通过协议质押和通货膨胀来提供激励;然而,还没有一个 PoS 网络能够提供杀手级功能:长期质押。
期限结构(Term structures)允许投资者在不同的时间段内战略性地锁定资本,以换取普遍更高的投资回报。在传统金融领域,期限利率构成了收益率曲线,它是运作良好的金融市场的重要组成部分。但是在加密货币领域,这些原语在协议级别上根本不存在。
注:必须注意的是,虽然我们使用「期限结构」或「收益率曲线」一词,但它与传统固定收益市场的运作方式不同。例如,在美国,美联储负责管理货币政策并控制货币进入流通。另一方面,美国财政部发行固定收益产品来筹集已经流通的货币。在此提案中,我们建议在 PoS 区块链中重新分配以编程方式实现的加密货币通货膨胀。
在这篇文章中,我们将探讨 PoS 网络如何更好地使利益相关者与其网络的长期成功保持一致,我们还提出具体的金融结构以优雅地实现这一目标。
质押不仅仅是赚取奖励的一种方式。它在 PoS 网络的安全中发挥着至关重要的作用,这就是为什么代币持有者能够通过参与来质押来获得代币奖励。
12800枚ETH从未知钱包转移到Beacon Depositor:金色财经报道,北京时间今日22:33,12800枚ETH (价值约23,795,386美元) 从未知钱包转移到Beacon Depositor。[2023/7/26 16:00:36]
然而,在当前的质押模式中,无论意图如何,奖励都会平等地分配给所有生态系统内的参与者,却忽视了他们对网络的具体贡献。无论是短期、长期还是永远不会卖出的钻石手,他们得到奖励都是一样的。结果就是,那些为了改善网络而承受风险和波动的利益相关者没有得到充分的补偿。
此外,在相对较短的等待期内取消质押可能会对网络的稳定性构成了潜在风险。特别是在短时间内提取大量质押的极端情况下,很可能会导致网络不稳定,破坏整个系统,甚至更糟糕的是,引发全面的经济攻击。
以太坊使用排队系统来缓解这种风险,在本文中,我们探讨了潜在的更好的替代方案。
质押确实有效,但还可以更好。
长期质押将会奖励长期质押者更高比例的代币,以换取更长时间的质押锁定,从而促进网络稳定性和持久性。
长期质押在质押过程中引入了时间锁定变量(例如,质押者可以选择将其质押代币锁定 1 年、2 年等)。协议可以将其视为时间加权的权益,其中权益奖励的分配偏向于承担更多时间所带来的风险的质押者。
Purpose ETF七日增持约3415枚BTC,7日环比上涨14.27%:8月2日消息,据欧科云链OKLink多链浏览器显示,加拿大Purpose ETF持有的BTC数量自6月18日大幅减持以来(减持24,511枚BTC),于7月底开始增加持仓,截止8月2日09:00近7天增持仓3,415枚BTC,7天环比上涨14.27%。[2022/8/2 2:53:40]
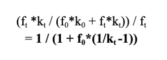
让我们定义几个变量:

我们有意将 k 定义为一个单独的乘数,而不是纯粹对质押进行时间加权,这样可以保持灵活性。通过避免严格的时间乘法,特别是在长期锁定的情况下,这种设计可以防止对短期质押率产生过度不利的影响。这反过来又消除了那些可能没有长期兴趣的质押者的任何潜在障碍,最终防止质押参与率下降(对短期内的共识安全很重要)。此外,如果需要的话,还可以通过增加 k 来提高长期质押率。
假设验证者的表现一致,长期利益相关者可以通过以下方式提高他们的奖励:

数据:Purpose Bitcoin ETF增持70.59枚BTC:据欧科云链OKLink数据显示,截至今日10时,Purpose Bitcoin ETF持有的BTC数量为21184.63枚,较前日增持70.59枚BTC;Purpose Ether?ETF 持有的ETH数量为58681.13枚,较前日减持507.02枚ETH。[2021/6/25 0:05:09]
但是,短期利益相关者的奖励会减少。

PoS 网络可以通过两种直接方式实施长期质押:永久时间锁定合约和固定期限合约。
首先,网络可以为对长期质押感兴趣的质押者提供一份为期一年的永久质押合约。你可以把它理解为可赎回债券。
每个 epoch/ 区块,质押者都可以提交赎回请求。提交赎回(即解除质押)请求后,他们必需等待 1 年时间锁定到期后才能提取标的资产。
如果质押者想要继续质押,时间锁定将在每个 epoch/ 区块自动重置为 1 年(即自动回滚)。从质押者的角度来看,他们避免了在一年的时间锁定之外承担任何本金偿还的不确定性风险。
声音 | SharesPost:Ripple已为跨境支付领域的增长做好准备:据bitcoinexchangeguide报道,根据SharesPost的一份新报告,Ripple公司已准备好面对跨境支付领域的重大增长机会。根据SharesPost研究分析师Alejandro Ortiz的说法,Ripple拥有巨大的市场份额,并且未来与竞争对手相比更有利于增长,因为其业务具有创新性和颠覆性。[2019/4/6]
如果一年期限的永久质押合约无法满足质押者的需求,网络还可以推出其他期限的合约:3 个月、6 个月、2 年、3 年、5 年、10 年等。
固定期限合约是实施期限质押的另一种方式。这看起来更类似于传统债券,本金将在未来的固定日期返还,并且到期时间随着时间的推移而不断缩短。
一般来说,我们认为永久时间锁定合约是比固定期限合约更好的金融结构,因为:
永久时间锁定合约的 1 年时间锁定结构允许网络在每个 epoch/ 区块的最大可能时间锁定下运行,这能有效激励长期质押;
由于每个 epoch/ 区块都有 1 年的时间锁定,多个 k 可以在质押的整个生命周期中保持不变 。这一点尤其重要,因为固定期限合约随着到期日期的临近,对长期质押感兴趣的参与者的质押乘数减小,从而缩小了长期和短期质押者之间的利差,降低了对长期质押者的吸引力。
声音 | Bram Cohen:以太坊开发人员不应转向POS:据Cryptoglobe报道,BitTorrent的创始人、前CEO Bram Cohen在推特上建议以太坊(ETH)开发人员不要转向使用PoS共识机制。Cohen还建议以太坊开发团队丢弃分片,并将状态转换分离出来。[2019/2/19]
即使是最基本的实施方案也应该能够满足长期质押者的偏好,他们需要能够在质押期结束之前通过流动性质押退出原生资产。我们期望看到基于期限的、流动性质押的代币池出现,以促进这种风险转移。
此外,由于收益率的均值回归性质,再利用可组合性的力量,自动化做市商可以通过流动质押池促进市场参与者之间跨期限的无缝风险转移。事实上,收益率曲线交易在传统金融中已经是一个重要的市场。例如,我们预计 stToken-12month 交易将独立于 stToken-6month 进行,这些代币将推动链上交易和流动性的发展。
让我们考虑一个假设的 PoS 网络,质押回报率为 y = 6%。让我们使用 K = 2 来平衡短期和长期质押率。在此计算中,我们假设 T = 1 年。
我们发现,在一个极端情况下,当每个人都进行短期质押时,每个人都会获得相同的质押回报率 y = 6%。然而,第一个进行长期质押的人可以获得两倍的利率,即 K * y = 12%。另一个极端,当每个人都进行长期质押时,质押回报率保持在 y = 6%,但任何选择短期质押的人只会获得 y / K = 3%。事实上,最终的平衡状态可能介于这两个极端之间。因此,在相同的通货膨胀率下,网络有可能在更长的时间内实现更高的安全性。

注意:上图表明,随着越来越多的人进行短期质押,质押率曲线会变得更加陡峭,并激励更多的人进行长期质押。
必须承认,这里的思想实验集中在一个时间长度上:一年。这样可以简化实施,同时保持灵活性,以便将来轻松扩展到其他的锁定时间。扩展到多个时间锁的过程应该是一个协作的过程,社区可以深入研究每个后续时间锁和各自 PoS 网络的具体特性。
这种设计具有 1) 简单直观的特点,2) 易于根据市场反馈重新配置,3) 融入自由市场需求,4) 确保长期质押率大于短期质押率。
长期质押并不是包治百病的良药,它还有一些需要考虑的限制。
这种设计中最重要的风险之一是掌握大量代币的鲸鱼可以锁定最长期限并达到以下目的:
控制 K(长期质押率的倍数)这可能对短期质押者实施惩罚,从而增加短期质押者离开网络的风险,导致网络的中心化。
可能会对短期利益相关者的验证者产生不利影响。它可能会降低这些验证者的竞争力,从而增加这些验证者离开网络的可能性。
解决方案是设计一种社区驱动的方法来决定 K 的值。这个倍数应该足够大,足够重要,但又足够小,不会损害短期利益相关者。最终 K 值的决定需要咨询多个利益相关者——短期利益相关者、长期利益相关者、具有不同利益相关者组合的验证者等。
我们认为,为了确保网络的弹性并发展成为支持数十亿用户和数万亿美元的金融基础设施,PoS 网络需要开始认真思考如何激励长期、价值观一致的利益相关者。收益率曲线是金融市场运作良好的支柱。长期质押是一种将这一愿景变为现实的加密原生方式,我们还可以利用可组合性的力量在不同市场参与者之间创建无缝的风险转移机制。
通过实施长期质押,PoS 网络可以创建一个强大的生态系统,奖励那些长期参与并与网络价值观保持一致的人。此外,通过自愿长期锁定其代币,长期质押者可以显著增强隐含的网络安全性。他们作为长期「利益相关者」灌输了对区块链安全性的信心,吸引了更多的利益相关者并促进了网络的良性增长循环。通过实施这些措施,我们可以显著改善 PoS 区块链的状态,增强其稳定性、安全性和长期生存能力。
Foresight News
企业专栏
阅读更多
神译局
白话区块链
新浪科技
Gryphsis Academy
元宇宙之心
金色早8点
Web3小律
MarsBit
ForesightNews
吴说区块链
TokenInsight
比特币在8月17日至8月18日经历了一次重大的重新定价,在美国东部时间下午4点到6点之间的几个小时内下跌了约10%,此次下跌导致 BTCUSD 跌破 200 天和 200 周移动均线.
作者:Future3 Campus,编译:火火/白话区块链最近,Twitter 上超过一半的内容似乎都围绕着 Friend.Tech.
前言 2023 年 Q3 的加密市场是各类 Layer 2 争奇斗艳的竞技场,而“传统”的 DeFi 和 NFT 等细分赛道则稍显沉寂,尤其是在 Azuki 的自杀式营销之后.
作者: Struct Finance;编译:火火/白话区块链“如果我告诉你,我们金融未来的命脉已经存在了几个世纪,虽然看不见却始终存在,引导着市场的脉搏?你知道是什么吗?”本文将为您揭晓.
作者:Ned Menton,blockworks 编译:善欧巴,金色财经当加密货币从小众跃升至主流时,项目将需要采用更专业的管理实践,否则就有被抛在后面的风险 适应规模化管理的必要性 如今.
Friend.tech上线Base链两周后,其用户活跃度逐渐降低,合约内ETH甚至在8月22日出现净流出现象,目前合约内留存ETH总量维持在3500枚左右,价值约580万美元.