从数学角度论证和解释 Uniswap 创始人与 Paradigm 研究团队设计的全新做市模型 TWAMM 的工作原理。
最近,Paradigm 研究合伙人 Dave White、Dan Robinson 与 Uniswap 创始人 Hayden Adams 一起合作设计了一个全新的做市模型「时间加权做市商 TWAMM」(The Time-Weighted Average Market Maker)。根据其发表文章介绍,TWAMM 可以在以太坊上有效地交易大额订单,工作原理是将长期大额订单分解为无限多个无限小的虚拟订单,在一定时间内使用嵌入式 AMM 平滑地执行这些交易。
关于 TWAMM 的虚拟交易所涉及的数学,Dave White 在文中并没有多费笔墨,只在最后给出了非常简单的数学结论,这对于理解 TWAMM 的数学原理非常不利。本文将重点对 TWAMM 的数学原理进行严格的论证和解释,至于 TWAMM 模型详细的设计原理,可以前往 Paradiagm 官网查看,本文不再做详述。
以太坊基金会研究员披露质押以太坊或会泄露用户IP地址等信息:4月14日消息,以太坊基金会研究员Justin Drake透露,ETH质押者的IP地址作为元数据集的一部分受到了监控,导致加密社区将此视为以太坊的隐私问题。Drake称他在“内部”(或是在以太坊基金会)了解到这样的数据库,他解释称:“有很多元数据可被追踪到,你可以查看存款地址、提款地址、费用接收者、以及IP地址。”Drake还表示,这样的数据库可以抵御空投女巫攻击,也或可用于“特殊空投”,即把代币空投给单独质押者,而不是Kraken、Coinbase等机构,或者是某些特定的人。[2023/4/14 14:03:17]
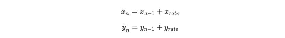
假设 TWAMM 执行大额虚拟交易需要 N 个区块,出售 X 的池子以每区块 xrate 的速率出售,而出售 Y 的池子以每个区块 yrate 的速率出售。因此,在整个期间售出的 X 总量为 xin=Nxrate,售出的 Y 总量为 yin=Nyrate。
游戏发行商BRAVO READY宣布获得Aptos的战略投资:金色财经报道,游戏发行商BRAVO READY宣布获得Aptos Labs的战略投资,该投资将用于推出“Aptos Arena”。这是两家工作室之间的独家游戏合作,以及未来Aptos与《BR1: INFINITE》的整合。
Aptos Labs 的联合创始人兼首席执行官 Mo Shaikh 表示,2023年是Web3游戏在全球范围内获得采用的一年,BRAVO READY的团队已经在推动实现这一目标。[2023/3/17 13:10:56]
同时,我们将此时间段嵌入 AMM 的初始储备 xreserve 和 yreserve 分别表示为 x0=xammStart 以及 y0=yammStart。
按照 TWAMM 的设计,大额订单是随着区块进行交易的,每个区块出售 xrate 得到 yout,或者出售 xrate 得到 yout,同时 AMM 会更新 xreserve 和 yreserve 的值,整个过程总共交易 N 次。
Neutrino的多抵押系统已在v2.2.0版本更新中推出:3月3日消息,Neutrino在推特上宣布,多抵押系统已在Neutrino v2.2.0更新中推出,项目团队已在XTN交易/Swap页面上增加了对XTN到多抵押品交易的支持,并在多抵押品储备中增加了1亿枚WX代币。此外,Neutrino主页、 SURF和NSBT质押页面均已更新,通过改变a和b参数暂时减少XTN的最大买入/卖出数量,以确保初始阶段的多重抵押品稳定性。[2023/3/3 12:40:38]
值得注意的是,AMM 的每个区块交易总是遵循恒定乘积做市。

首先,在执行第 n-1 区块的交易后,我们假设此时 AMM 的 xreserve 和 yreserve 值分别为 xn-1 和 yn-1。
Robinhood已支持Polygon上MATIC存取款:9月1日消息,股票和加密货币交易平台 Robinhood 宣布已支持 Polygon 上 MATIC Token 存取款,用户可使用 Robinhood 钱包与 Polygon 上应用进行交互。Robinhood 曾于今年 3 月宣布上线 MATIC 交易。[2022/9/1 13:01:36]
接下来执行第 n 区块的交易,X-Pool 和 Y-Pool 分别向 AMM 输入 xrate 和 yrate,命:

因为 xrate 和 yrate 非常微小,且区块的交易 AMM 遵循恒定乘积做市商,我们可以得到,
数据:三箭资本在过去24小时已向Kucoin转入1000万USDT和2000枚USDC:7月5日消息,PeckShield监测显示,过去24小时内三箭资本已将总计1000万枚USDT和2000万枚USDC转入Kucoin。[2022/7/5 1:51:37]

化简,

在得到 xout,n 和 yout,n 的值后,我们进一步可以获得 n 区块的交易后 AMM 的 xreserve 和 yreserve 值 xn 和 yn,

通过观察,我们发现 xn*yn=xn-1*yn-1,这正好符合 AMM 的循恒定乘积做市的前提要求。
令, xn*yn=xn-1*yn-1=...= x1*y1=x0*y0=k,这是一个常数。
先对 xn 求得一般公式,并获得 xammEnd=xN 的值,yn 同理。

yn 的分式线性递归表达式如下:

首先,若 yin 等于 0,xin 不等于 0,则


计算得到,

而,

xin 等于 0,yin 不等于 0 时,讨论同上。
若 xin 和 yin 都不等于 0,对于一般的分式线性递归,我们可以采用不动点的方法求解。

进一步计算,

TWAMM 的基本假设是将长期大额订单分解为无限多个无限小的虚拟订单,也即是 N 可以取无穷大,这时候可以获得 xN 的极限值。

其中,

相似的,

最后,经过简单的验证 xammEnd*yammEnd=xammStart*yammStart=k, 依然满足 AMM 的恒定乘积。
至此,我们完成了 TWAMM 的数学原理严格的论证和解释,并得到了与 「时间加权做市商 TWAMM」 一文完全相同的结论。
撰文:luffy
本文对MEV保护DEX的三个典型例子ArcherSwap,CowSwap?和MistX展开了具体的交易实例分析,作者为llamacorn.
在加密货币市场,巨鲸是指持有大量特定代币的对象——个人、机构和交易所。例如,当谈到比特币时,巨鲸一般是指持有 1000 个或更多比特币的账户.
关于你手里的NFT 的真相……大多数将在 5 年内价值归零。但是那些能活过5 年的NFT会变的很值钱……我在 2017 年的 ICO狂热中幸存下来……但几乎完全是因为两个项目救了我……如果不是这.
一切迹象表明,Uniswap V3 的脚步声越来越近。3 月 4 日,Uniswap 创始人 Hayden Adams 在推特上向网友提问:“宣布 Uniswap v3 详细信息时,您将首先通过.
NFT在2021年席卷全球,引发了一场数字艺术革命,同时成为今年增长最快的资产类别之一。NFT使艺术家能够在不依赖中间商的情况下提供数字原创作品,同时能够从作品的二次销售中获得版税,但这一使用案.
近期,NFT+DeFi再次掀起热潮,不少新的玩法涌现。根据国外加密货币犯罪和反报告,"DeFi将是欺诈和的下一个主要威胁媒介".