近日,BAYC 母公司 Yuga Labs 以 40 亿美元估值完成新一轮 4.5 亿美元融资,NFT 领域单笔融资最高纪录再度被刷新。本轮投资阵容豪华,由 a16z 领投,Animoca Brands、Coinbase 和 MoonPay 等参投。
此次融资是元宇宙领域的标志性事件,手握 CryptoPunk 和 BAYC 两大最强 IP 的 Yuga Labs,在顶尖团队和顶尖流量的加持下,能否成为元宇宙的最终统治者以及会将元宇宙带向何方?
在各行业不断内卷的社会,唯一还能英雄不问出处的地方恐怕只有 Web3 了。在 Web3 这个变化迅速、传奇故事不断上演的领域,一年前的无名之辈,转眼就可以惊艳所有人。
回看 Yuga Labs 发展轨迹,低开高走。开局算不上顺利,团队出身一般、预售场面冷清,和现在人们眼中的成功形象大相径庭。
Yuga Labs 成立于 2021 年 2 月,四位匿名创始人 Gargamel、Gordon、Tomato 和 Sass 看起来似乎也没有特别光鲜的履历。Gargamel 在真实社会中做编辑和书评,Gordon 原计划就读艺术硕士,由于生病开始炒币,还曾因为域名争议被 Bitmex 告上法庭。另两位 Tomato 和 Sass 是软件工程师,但是此前对 NFT 并没有经验。
BAYC(Bored Ape Yacht Club)是 Yuga Labs 的成名作,讲述了一群炒币自由的猿猴无所事事,在沼泽地的一个俱乐部钓鱼、涂鸦的故事。这是一个很 crypto 的故事,炒币是 crypto 永不过时的话题,Ape 是 crypto 的常用语,指代不加思考的交易者、徒或者韭菜,Ape in 形容无脑冲、梭哈。

(图片来源:BAYC 网站)
故事讲得虽好,买单的却并不多。2021 年 4 月 23 日,BAYC 预售,每只猿猴统一零售价 0.08 ETH(当时价值约 200 美元)。预售谈不上乐观,当晚只卖出了大概几百只(对比下现在市场出现的各种质量参差不齐的 NFT,基本上数小时就能抢售一空)。

(图片来源:BAYC 推特)
转折点发生在 5 月 1 日,随着预售期最后一只 BAYC 出售,知名收藏家 Pranksy 在推特宣布购入 250 只 BAYC,Pranksy 的带货使得 BAYC 的销量、用户、交易数激增。仅在 117 分钟后,BAYC 售罄。需要注意的是,Pranksy 的行为是自发的,并没有事先和 Yuga Labs 通气。
由于 Yuga Labs 将 BAYC 的所有权和商业使用权授予持有人,BAYC 所有者构成了庞大的营销团队,推动了品牌增长。此后,BAYC 开始一路走红。推特 KOL、NBA 巨星、歌手、演员、电视主持人、富商等纷纷购买 BAYC 并自发充当代言人。尤其是去年 8 月 NBA 球星斯蒂芬?库里(Stephen Curry)以约 18 万美元的价格购买了 BAYC NFT 作品并作为推特头像的消息引发了全球范围的大量关注,BAYC 加速破圈。

(图片来源:库里推特)
如果说此前 Yuga Labs 更多的是隐藏在 BAYC 幕后,那么进入 2022 年之后,Yuga Labs 开始走向台前。3 月 12 日,Yuga Labs 宣布收购 CryptoPunks 和 Meebits 的消息在圈内引发不小的轰动,此举意味着 Yuga Labs 成为圈内唯一手握 CryptoPunks 和 BAYC 这两大顶级 IP 的运营方。3 月 16 日,Yuga Labs 宣布将于今年开启虚拟土地销售,并推出游戏 MetaRPG 及 APECoin 以共同构建 Yuga Labs 的元宇宙计划。3 月 23 日,Yuga Labs 以 40 亿美元估值完成 4.5 亿美元融资,将所有人的情绪推向高潮。
从数据看,BAYC 已经成了 NFT 的当之无愧的王者。BAYC 地板价超过 100 ETH,是所有 NFT 项目中地板价最贵的。BAYC 拥有 NFT 空间中最大/最活跃的 Discord 社区,用户数超过 13 万人。OpenSea 每日交易量超过 1.5 亿美元,而交易量的 10% 由 BAYC 的持有者贡献。在过去的一年,BAYC 团队吸金能力惊人,净利润 1.27 亿美元。而花在广告、产品和技术以及员工薪资等方面的支出加起来 424 万美元。

(图片来源:Yuga Labs Deck)
在 NFT 领域的成功让 Yuga Labs 的触角伸向更广阔的元宇宙。
Yuga Labs 在 90 页的 Deck 里详细介绍了未来的发展规划:不止于 NFT,而是要重新定义元宇宙。
在 Yuga Labs 看来,现在的元宇宙很俗套,聊天、线上聚会、相互 Battle 的游戏在 Web2 就已经做得很好了。完美的元宇宙是一个全人类都与之相连的虚拟世界而不是像目前这样每个人都在建立自己的世界。Yuga Labs 要构建的是可互操作的元宇宙,并推出游戏 MetaRPG。
MetaRPG 的故事开场讲述了宇宙大爆炸后释放的能量逐渐枯竭,天体一个接一个消失。一种被称为 Kada 的外星生命一直在监测地球的一举一动,在地球毁灭之前创造了一个新的元宇宙,并将 BAYC 以及其他可互操作的 NFT 拯救到新大陆,新的故事就此展开。
在新大陆上,有 10 万块创世土地,这些地块将对应于游戏中的真实土地。地价保守估计是每块地 1 个 ETH,按照当前以太坊价格计算,销售土地将会为 Yuga Labs 带来 3 亿美元收入。当然,有了 BAYC 的成功案例,相信买家一开始就会 FOMO,加上 Yuga Labs 在 Deck 中透露会有 1 万个独特的 Koda 随机分布在土地上,这些土地大概率上线就会被抢购一空。

(Koda 形象图,来源:Yuga Labs Deck)
除了推出元宇宙游戏,Yuga Labs 还将推出元宇宙商店,大有对标 iOS App Store 和 Google Play 的意味。
在游戏以及元宇宙商店中,APECoin(APE)将会是通用代币。尽管由于监管因素考虑,Yuga Labs 极力撇清 APE 不是 Yuga Labs 直接参与 ApeCoin 发行,但懂的都懂。从 BYAC 和 MAYC 系列 NFT 周边商品将于 3 月 29 日发售,仅接受 APE 支付就能看出这层关系。
是破局者还是收割者?
Yuga Labs 的高举高打,引得不少行业内专家讨论。
BAYC 持有者、CryptoC 创始人唐晗直接用“不留活路的震撼?”来形容自己看到 Yuga Labs 在 Deck 中描述的内容。
第一个震撼点是团队配置,除了早期四位创始人 Yuga Labs,新引进的高管清一色的是 Web2 流量高手,横跨硅谷互联网巨头和美国时尚界,在营销运营上堪称顶配。来自 Web2 世界和 Web3 世界的资本站队和资源融合,让 Yuga Labs 在接下来一年不会有与自己抗衡的对手。
第二点是愿景宏大。Yuga Labs 的计划是统一元宇宙,建立一个和 DCL 以及 Sandbox 完全不同的虚拟游戏,实现现实世界和虚拟世界的联动、Web3 所有 PFP 项目的联动、Web2 品牌和 Web3 世界的联动。
第三点,干掉 OpenSea 和 OpenSea 无关。Ape 宇宙里将产生大量的 UGC 内容,这些内容的首选交易平台将不再是 Opensea。
BAYC 持有者、odaily 创始人 Mandy?从 IP 角度分析?认为,Yuga Labs 像是元宇宙世界的迪士尼,致力打破“元宇宙”的边界。
将诞生刚满 1 年的 Yuga Labs 与存活长达近百年的娱乐巨头相提并论看起来似乎不自量力,但 Mandy 认为 IP 正在经历着百年未有大变局,格局打开才能看到未来。
从 20 世纪 30 年代的宽荧幕的有声电影米奇家族,到 70 年代的三丽鸥旗下的 IP HelloKitty,再到 2011 年由韩国社交应用 LINE 衍生品牌 LINE FRIENDS 的大火,IP 的传播载体和形式都在随着时代发生着变化。NFT 诞生在一个非常有趣的时代,颠覆 IP 和 版权的商业世界的宏大叙事,模糊了消费品、艺术品和奢侈品的边界,我们不能再用旧的参照物比照新的世界,去了解它,拥抱它,从而不负时代的馈赠。
顶配的团队和宏大的路线图很容易让人 FOMO,但无法保证项目一定能做成功,比如币圈“三姓家奴”BM 的 EOS、图灵奖得主光环的 Algorand 等等。加密 KOL BTCdayu 对 Yuga Labs 的前景谨慎乐观?,Yuga Labs 卖 BAYC、发 APE、卖地等一系列玩法中,都有一个共性的问题是,所有社区成员,尤其是小散户,都是天然的燃料。
分布式资本的一位人士更是尖锐地指出?,Yuga Labs 吃相难看。
“除了投机者以外,BAYC 持有者最大的预期就是空投发币。BAYC 发币将最后一招杀手锏祭出,自此之后再无退路。Yuga Labs 也成功通过融资完成了对资本的收割。明眼人都能知道 BAYC 是一个 meme 而不是 IP,因为它除了富裕一部分人以及带动这一波 PFP 炒作潮以外毫无建树。可以说 BAYC 以及 Yuga Labs 的此番操作代表了 PFP NFT 这一个时代的落幕。”
资深 DeFi 玩家、《老陆的区块链笔记》作者陆遥远从运营、开发、叙事、盈利能力、竞争壁垒几个方面全面客观分析了 Yuga Labs 的综合实力?。运营、叙事、竞争壁垒分值拉满,盈利能力和开发能力不足。比如盈利方面,虽然 2021 年净收入是 1.27 亿美元,但主要是销售 MAYC 所得,BAYC 的版税收入只占 30%。开发能力方面,与 Animoca 合作建立的赛车游戏,以及街机风格的游戏还没有推出。
作为节点性事件,Yuga Labs 带给我们诸多启发,比如 NFT 市场从散兵游勇进入集团作战的模式,如何对 NFT 估值等。
在过去的一段时间里,大部分 NFT 项目发起方团队配置简单,发展路线不清晰或者很随意,这导致了很难有项目跑出来。从 Yuga Labs 的 Deck 可以看出,团队超配了来自 Web2 领域的高手,进一步加强了营销造势的能力,这在其他项目是上少有的。发展路线十分清晰,节点精确到月。比如 5 月份空投 Koda,7 月举办 APE 电影节,8 月份土地销售等等。
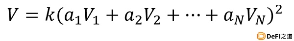
DappRadar 最新数据显示,BAYC 的市场价值超过 36 亿美元,是目前最贵的 PFP 类 NFT 项目。对 NFT 项目的估值依据是什么?有没有统一的模型框架可以参考?时戳资本最近提出一种新的网络估值模型?,这是根据“成功定律”和“梅特卡夫定律”提炼出来的新的价值网络估值模型:

其中,V 指的是网络价值,V? 表示周围某一个节点的价值,a? 表示这个节点和中心项目的联结紧密程度,n 则表示周围有联结的节点数量。
也就是说,一个项目的价值取决于他自己本身的价值是不是被很多其他人或者项目需要(n 够不够大);需要它的人或者项目是不是成功(有没有哪个 V? 很大);以及这种需要是不是很强烈而且无可替代(a? 的大小)。
对待 NFT 项目,主要参考文化、美学、社区、资产和实用性等维度。以 BAYC 社区为例,V? 表示每个社区参与者的对网络的价值,a?表示社区成员和 BAYC 的联结紧密程度,n 表示社区参与者能够触达的人群。库里在去年 8 月买入 BAYC 时,V? 很大(库里本身的影响力),a? 不大(库里与 BAYC 的联结紧密度),n 逐步变大(库里会影响一批人买入 BAYC),从而 V 开始增大,这就是 BAYC 的地板价在库里买入 BAYC 后大幅上涨的原因之一。
从 Yuga Labs 身上可以发掘许多值得创业者学习的地方。在团队配置上,他们的创始团队不算豪华,却将一把开局不是很好的牌最终打成王炸。在项目运营上,他们在几乎没有花费任何代言费的情况下让 NBA 巨星、娱乐明星自发带货。在社区建设上,他们在极短的时间内建立起覆盖全球各地的庞大的用户社区。在项目进入稳定期后,他们迅速找到二次增长曲线,同时借助资本的力量进一步发展壮大。Yuga Labs 不断打破我们对未来的想象。
上方为BTC走势,下方为随机指数,对比可以发现,目前随机指数和2013-2014年比较相似,该指数在各轮牛市中形成M头,而BTC价格也走出双顶,不过均是大级别顶背离,后面BTC见顶回落进入熊市,随机指数跌破M头颈线支撑继续向下,直至到达大底区域。
1.DeFi代币总市值:1447.33亿美元DeFi总市值 数据来源:coingecko 2.过去24小时去中心化交易所的交易量:51.42亿美元过去24小时去中心化交易所的交易量 数据来源:coingecko 3.DeFi中锁定资产:2305.8亿美元DeFi项目锁定资产前十排名及锁仓量 数据来源:defillama 1.NFT总市值:528。
NFT原发于金融领域,在加密货币早期,FT的金融属性带来来圈内最早一波的非原教旨群体(加密朋克)。然而很长一段时间,其他领域的从业者都只是一只脚跨进来的姿势,犹豫不决。今年NFT的火热如刀砍斧劈般趟开了树在他们前面的障碍,蔚然成风。拍卖行每天都有拍出各种各样的作品,各种运动员、时尚歌手、品牌也都争相推出自己的NFT。
加密资产经过长时间的发展和考验,已经在全球金融领域中拥有了属于自己的位置。根据 Coinmarketcap 数据显示,截至目前,加密市场的总市值已经达到 2 万亿美元,整个生态的发展也越加完善。如今,随着资产价格和项目估值的不断上涨,寻求进入加密市场的传统资金也在逐渐增加。 Web2 资金进入 Web3 是为长期持续的趋势。
gas费之争已经上演了很多年了,如今以太坊即将转为pos链,那最大的期待,就是gas费可以降到很低,为什么呢? 因为pos的处理效率远大于pow,并且网络资源成本也足够低,只是验证者需要抵押ETH,赚取出块奖励。网络本身的“硬件”成本,降了很多倍。 那以太坊转了pos之后,gas费究竟能降多少?好奇心驱使我通过多种角度去尝试预测。
又到了每月安全盘点时刻!据成都链安【链必应-区块链安全态势感知平台】安全舆情监控数据显示:2022年3月,各类安全事件仍然时有发生,3月发生较典型安全事件超『30』起。 【DeFi方面】暴露出来的安全风险创下2022开年以来的新高。本月发生的跨链桥Ronin攻击事件可能是DeFi历史上涉及金额最高的一次攻击,损失超6亿美元。