arkworksformarlin
Marlin
Fractal
RICS



则R1CS成立。
TransitionintoPolynomial(efficiency)
Prepare

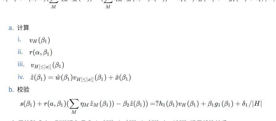
Definepolynomial

2.为向量z=(x,w)定义多项式

3.为矩阵A,B,C定义多项式
为了减小verifier计算的复杂度,这?用了一个特殊的形式来表示矩阵,以上述示例的矩阵A为例:


Linearitycheck



可以看出,当多项式t(X)取遍H值时,满足:

同样,也可以从公式推导:


AHPforR1CS
Common

Prover
=>Prover

=>Oracle

=>Prover-sumcheck-1

=>Oracle

=>Prover-sumcheck-1

=>Prover-sumcheck-2

=>Oracle

=>Prover-sumcheck-2

=>Prover-sumcheck-3

=>Oracle

=>Prover-sumcheck-3

Verifier
=>Verifier-sumcheck-3

=>Verifier-sumcheck-2
Recalltheequality

=>Verifier-sumcheck-1
Recalltheequality

=>Verifier

Polynomialcommitment
协议总共进行了三轮交互,每轮交互承诺的多项式,以及query的点如下:

Optimization
Sum(s(X))=0
生成随机多项式:

Reducesumcheck
根据COS20.Claim6.7论?提到的优化,我们令:

Common

Prover




Verifier

ReducepolynomialnumbersforSumcheck-2
对三个矩阵的现行校验,压缩成对一个矩阵的校验,即:

对这个多项式进行稀疏矩阵的表示。
矩阵多项式,从9个缩减为3个。
Setb=1
令b=1
FinalProcotol
Marlininarkworks
关于我们
Sin7y成立于2021年,由顶尖的区块链开发者组成。我们既是项目孵化器也是区块链技术研究团队,探索EVM、Layer2、跨链、隐私计算、自主支付解决方案等最重要和最前沿的技术。
微信公众号:Sin7Y
GitHub|Twitter|Telegram|Medium|Mirror|HackMD|HackerNoon
北京时间2022年8月2日13点,CertiK安全团队监测到ReaperFarm的ReaperVaultV2合约被恶意利用,导致了价值超过160万美元的损失.
原文作者:KevinSchwartzandDavidAdlerstein原文标题:DecentralizedGovernanceandtheLessonsofCorporateGovernanc.
8月3日,成都链安鹰眼-区块链安全态势感知平台舆情监测显示,Solana发生大规模盗币事件,截止发稿前,有近1万多个Solana钱包地址遭受攻击.
关于为什么密码学的新进展可能对数字身份基元很重要。上一篇DAOrayaki介绍了“DAOrayaki|为什么Web3需要ZK身份?”;这篇文章介绍“如何实现”.
JustLendDAO于2022年8月31日调整了USDC市场的参数。调整之后,将大幅降低USDC市场的借款利息,提高USDC市场的资金使用率,用户参与USDC市场存款仍可获得高额存款APY.
作为全球最受欢迎的公链之一,波场TRON自创立以来始终保持高速发展,生态建设全面开花,各项数据突飞猛进。我们整理了波场TRON取得的辉煌成就,与大家共同见证波场TRON的发展历程.