关于协议dYdX
dYdX是去中心化的衍生品交易协议,采用了「链外撮合+链上结算」的设计,使资金与交易更加安全及透明,同时也保证了较高的性能及响应速度。dYdX作为全球领先的去中心化合约交易平台有着显著的优势:在交易手续费方面费用低,无gas成本;在取款处理效率方面速度极快,无需等待即可从Layer2取款;在安全和私密性上,StarkWare的二层技术通过零识证明提高了安全性和隐私性;在交易处理方面,dYdX交易可立即执行并且数小时内在区块链上完成确认;在保证金利用率方面,dYdX可以交叉使用保证金,一个账户访问不同交易对的仓位。关于代币DYDX
DYDX是一种治理代币,允许社区通过投票治理dYdX协议。延伸阅读:三分钟速览dYdX空投、交易、LP奖励规则及领取方式dYdX发行细则:
DYDX的Token发行总量为10亿,并且会在五年内分发给所有的dYdX的生态参与方,包括社区用户,投资人和dYdX团队。五年之后,社区可以投票决定DYDX代币的通胀率进行增发;现定的最高通胀率为每年2%。分配机制50%分配给社区,具体如下:25%分配给交易挖矿的用户7.5%分配给追溯性挖矿用户7.5%分配给做市挖矿做市商5%分配给社区储备资金2.5%分配给参与流动性质押池的用户2.5%分配给参与DYDX质押用户●27.73%分配给过往投资者●15.27%分配给dYdXTrading或dYdX基金会成员●7.00%分配给dYdXTrading或dYdX基金会的未来成员

中科院院士:密码技术将深度融合到区块链等新技术发展中:中科院院士、密码学家王小元表示,信息技术极大地推动着世界向更高效、智能、环保、便捷的方向前进,人工智能、工业互联网、区块链、大数据交易等行业备受青睐。密码技术是数据治理和信息保护的重要手段。密码技术将深度融合到5G、区块链、人工智能,卫星通信、物联网、智慧城市等新技术发展中。(封面新闻)[2020/9/15]
DYDX主要用途
DYDX主要用于合约治理和手续费折扣。DYDX的手续费折扣的具体政策是什么?
DYDX的具体折扣费用会根据用户账户上的DYDX持有数量决定。DYDX代币奖励活动的起始和结束时间是?
追溯性挖矿从2021年8月3日15:00:00UTC开始,到2021年8月31日15:00:00UTC.日结束,为期一个时段。交易挖矿从2021年8月3日15:00:00UTC开始,到2026年8月3日15:00:00UTC结束,为期五年。做市挖矿从2021年8月3日15:00:00UTC开始,到2026年8月3日15:00:00UTC结束,为期五年。流动性质押池从2021年8月3日15:00:00UTC开始,到2026年8月2日15:00:00UTC结束,为期五年。保险质押池从2021年9月8日15:00:00UTC开始,到2026年9月7日15:00:00UTC结束,为期五年。参与挖矿有什么要注意的事情吗?
对参与流动性质押池和保险质押池的用户,如果需要取出质押款,需要在每个时段(EPOCH)的冷冻期之前发出请求,现定的冷冻期为14整天。对参与追溯性挖,交易挖矿和做市挖矿的用户,需要在每个时段(EPOCH)结束后等待7天获取DYDX代币。2021年9月8日15:00:00UTC,第一个时段结束8天后,所有DYDX代币会第一次自动解锁;届时,市场上会有大约8.11%的DYDX代币流动性。DYDX的获取规则
动态 | 中软国际教育科技集团、CoinDesk中文及Omni规范委员达成深度合作:近日,中软国际教育科技集团、CoinDesk中文以及Omni规范委员会三方,就Omni中国区块链人才认证培训计划达成深度战略合作。Omni区块链人才认证将由中软国际教育科技集团与Omni联合发行,涵盖了全面的理论和应用,包括区块链基础理论,分布式数据库基础理论,通用区块链系统实操,深度技术能力实操等等。中软国际教育科技集团将提供满足考试大纲的完整教程和培训。通过Omni认证,三方致力于把最新的技术引入中国社区,本次合作的三方将利用各自品牌、渠道、技术优势,在课程设计、教材制定、考试编制等培训认证所需的各环节通力合作。[2020/1/14]
现阶段,有五种不同的方式可以获得DYDX代币。如果您过去使用过dYdX的任何一代产品,包括Layer1的现货,杠杆和合约和Layer2的合约产品,您都可以参与只开放给老用户的追溯性挖矿项目。如果您是使用dYdXLayer2合约产品的新用户,你可以参与我们的交易挖矿,流动性质押池和保险质押池。如果您是专业的做市商,如果您曾在dYdX提供过5%以上的流动性,可以参与做市挖矿项目。现阶段,只有选定的做市商可以从流动性质押池里借出USDC。在未来,社区可以投票决定哪些做市商可以从USDC借贷追溯性挖矿
概述:7.5%的DYDX代币会通过追溯性挖矿分发给dYdX。截止中国时间2021年7月26日00:08:00的快照将DYDX分配给所有dYdX协议的历史用户。分配等级分为五种,取决于所有dYdX协议的使用情况。根据DYDX和dYdXLayer2协议在美国的使用限制,追溯性挖矿不能提供给位于美国或任何其他受禁止的司法管辖区、在美国或任何其他受禁止的司法管辖区注册或以其他方式成立公司或者是美国或任何其他受禁止的司法管辖区居民的用户。任何与推测未来空投的机器人活动明显相关的账户也被排除在追溯奖励之外。挖矿规则:如果要申领DYDX,历史用户必须在首个28天时段内满足如下dYdXLayer2协议的里程碑:
现场 | 央行金融稳定局安起雷:区块链已深度改变金融的形态 但金融的本质没有变:金色财经现场报道,11月22日,2019环球数字经济创新发展大会在京举行。中国人民银行金融稳定局高级会计师安起雷发表主题演讲——《四大关键数字技术——追求高质量发展的创新思想》。他表示,区块链已经深度改变了金融的形态,但金融的本质没有变。金融是经营风险的机构,其生命力在于周转。没有周转,没有高效率的配置,金融则充满风险。在监管方面,我国还是处于保守状态的。在金融风险当中,我们看到了很多失败的案例。如今数字经济方兴未艾,来势汹涌。从市场操作的角度来看,规则一定是首要的,我们需要补齐短板。[2019/11/22]

dYdXLayer2协议上的任何历史成交量都将计入用户的申领里程碑。在0时段结束时,任何未申领的DYDX将被没收,并自动转移至社区资金库。如何查看自己的奖励额度?用户可以去到此页面查看自己的额度:trade.dydx.exchange/portfolio/rewards用户什么时候可以提取和转移自己的代币?在第一个时段结束8天之后,2021年9月8日11:00,用户可以开始提取和转移自己的代币。交易挖矿
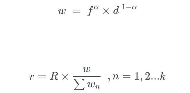
概述:25%(250,000,000)的DYDX代币会通过交易挖矿分发给dYdX的交易用户。挖矿规则25%的DYDX代币会在五年时间,以每个时段为最小单位分发给所以参与dYdX合约交易的用户,每个时段会分发3,835,616个DYDX。每个交易用户在每个时段内可以获得的DYDX代币将由每个用户的交易手续费和持仓量占整体交易手续费和持仓量的比重而决定,具体计算公式如下:
声音 | 杭州市委书记:加快推动区块链等核心技术在金融领域的深度应用:今天上午,第三届钱塘江论坛主论坛在杭州国际博览中心举行。杭州市委书记周江勇表示,面向未来,我们将以打造国际金融科技中心为引领,加速推动钱塘江金融港湾成为创新、活力、联动、包容的“金色港湾”。要坚持科技赋能、数字驱动,加快推动区块链等核心技术在金融领域的深度应用,通过技术渗透、扩散和转移不断催生新业态、新模式、新场景。(科创板日报)[2019/11/2]

注释:r:交易挖矿获取Token数量。R:将在该时期池中的所有交易者之间分配的总奖励f:交易者在该时期支付的总交易费用w、个人交易者得分、所有交易者得分的总和。d、交易者在该时期所有市场的平均持仓量k、该时期的交易者总数α、确定费用与未平仓合约权重的范围内的常数。初始值为α=0.7。如何查看当前时段已经获得的奖励?对于当前时段,用户可以在此页面查看自己的交易手续费,持仓量和获得的奖励:https://trade.dydx.exchange/portfolio/rewards对于过去时段,用户可以在此页面查看:https://dydx.community/history/rewards用户什么时候可以领取奖励?每个时段结束后7天,用户可以申领交易挖矿的奖励做市挖矿
概述:7.5%(75,000,000DYDX)的DYDX代币会通过做市挖矿分发给dYdX的流动性提供商。挖矿规则7.5%的DYDX代币会在五年时间,以每个时段为最小单位分发给流动性提供商,每个时段会分发1,150,685个DYDX。任何以太坊地址都可以赚取这些奖励,但必须满足在前一个时段提供大于5%的挂单流动性每个流动性提供商在每个时段内可以获得的DYDX代币将由其做市的深度,买卖价差,在现时长和支持的交易对数目决定;具体的计算规则如下:
动态 | 国泰君安积极探索区块链等技术 推动金融服务与科技深度融合:据新华网消息,近日,国泰君安君弘APP新推出的Level-2 Plus功能,积极探索移动互联、大数据、人工智能、云计算、区块链等新技术,推动金融服务与科学技术深度融合发展。[2018/9/27]

如何申领奖励?每个时段的奖励结束后7天,流动性提供商可以通过dYdX提供的API来申领代币奖励。流动性质押池:
概述:2.5%(25,000,000DYDX)的DYDX代币会通过流动性质押池分发给dYdX的质押用户。目的为进一步提高流动性网络效应,激励专业做市商,DYDX将被分配给向流动性质押池质押USDC的用户。公认的和经社区批准的做市商将使用质押的USDC基于Layer2协议进行做市,从而进一步提高市场的可用流动性。用户如何参与质押流动性?用户可以在此页面参与:https://dydx.community/dashboard/pools/liquidity点击质押第一次质押之前,要允许dYdX协议使用USDCDXDX的代币奖励如何发放和申领?质押者可以随时开始和退出流动性质押池,DYDX的奖励也会根据每个用户的USDC所占整体流动池的比例,实时计算并发放给质押用户,用户如何从质押资金池提现?如果要在时段结束后能够提现资金,质押人必须至少在时段结束前14天请求解除质押资金。如果质押人不请求提现,他们质押DYDX将被转入下一时段。可以在此页面进行操作:https://dydx.community/dashboard/staking-pool/liquidity有哪些做市商可以参与资金池借贷?首批获得批准的做市商包括Wintermute、AmberGroup、Kronos、Sixtant和DATTrading,他们今年一直在dYdXLayer2协议上积极做市。参与流动性质押池的风险是什么?虽然做市商无法从dYdXLayer2协议提现USDC,只能将资金用于做市;然而,如果做市商因为做市亏损了资金,并且无法补充流动性质押池,那么用户质押的USDC也有可能会亏损掉。保险质押池:
保险质押池的目的是什么?自dYdXLayer2协议推出以来,用户安全和保护一直是重点关注的问题。为此,DYDX将分配给质押DYDX到保险资金池的用户,从而为dYdXLayer2协议提供额外的安全保护。有多少DYDX代币会通过流动性质押池分发?2.5%(25,000,000DYDX)的DYDX代币会通过流动性质押池分发给dYdX的质押用户保险质押池什么时候上线?2021年9月8号15:00UTC.用户如何参与质押流动性?用户可以在此页面参与:dydx.community/dashboard/pools/safety点击质押第一次质押之前,要允许dYdX协议使用DYDXDXDX的代币奖励如何发放和申领?质押者可以随时开始和退出流动性质押池,DYDX的奖励也会根据每个用户的DYDX所占整体流动池的比例,实时计算并发放给质押用户,用户如何从质押资金池提现?如果要在时段结束后能够提现资金,质押人必须至少在时段结束前14天请求解除质押资金。如果质押人不请求提现,他们质押DYDX将被转入下一时段。可以在此页面进行操作:https://dydx.community/dashboard/staking-pool/liquidity参与流动性质押池的风险是什么?质押人决定将DYDX锁定在保险资金池,可能会造成资金缺口事件,这可能进一步导致DYDX治理酌情削减质押资金。社区资金库
社区资金库将保留DYDX由DYDX持有人决定其如何使用,无论是用于补助金、新流动性矿池还是任何其他计划。DYDX将在五年内持续被委托给社区资金库。从社区资金库中支出任何DYDX都必须进行治理投票。如需了解更多详情,请查阅此处。如果治理决定实行永久性通货膨胀,那么在五年后,任何新创造的DYDX都将被委托给社区资金库。治理
DYDX赋予持有人进行提议和对dYdXLayer2协议的修改投票的权利。DYDX治理基于AAVE治理合约,并支持基于DYDX持有量的投票。治理内容
与此同时,DYDX持有人将对以下方面拥有直接和不可撤销的控制权:分配社区资金库的资金dYdXLayer2协议上的新代币上市dYdXLayer2协议的风险参数流动性权益质押池中做市商的资金分配向流动性权益质押池添加新做市商出现亏损时,确定保险资金质押池的支出额针对推出时便存在的任何奖励和资金池进行变更治理合约本身提案类型
提议分四种类型,参数各不同,它们影响着提议的长度和执行情况。执行器必须验证每种类型的提议:短时间锁执行器可以执行通常变更奖励和激励合约或者需要快速干预的社区资金库的提议。长时间锁执行器可以执行变更影响治理共识的dYdXLayer2协议部分的提议。Merkle-pauser执行器可以执行冻结Merkleroot的提议,Merkleroot会根据每个用户的累计奖励余额定期更新,以便在建议的根不正确或具有恶意的情况下,可以随着时间的推移向用户分配新的奖励。Starkware执行器可以执行通常变更目前需要Starkware进行干预的部分协议的提议。更多
追溯性挖矿及交易挖矿获取DYDX数量查询:http://trade.dydx.exchange/portfolio/rewards流动性质押池地址:http://dydx.community/dashboard/staking-pool/liquidity保险质押池地址:https://dydx.community/dashboard/staking-pool/safety治理投票链接:http://dydx.community/dashboard/DYDX论坛:https://forums.dydx.community/
标签:ETHstETHTETLDOtogetherbnb手游下载stETH币WHTETGRMOON价格ldo币上大交易所没有
这是两位20世纪货币经济学伟人之间的一场传奇般的辩论,辩论的焦点是:「挑战者货币」是否会取代政府支持的标准货币,成为世界上最受欢迎的支付媒介.
目录 新技术,新方向-什么是音乐NFT?国内外NFT如何革新音乐行业-Mozik-AsyncMusic-TMETMENFT数字藏品的价值体系-永久性和独特性-转变价值链-权益保证-首听权-增加粉.
研究员:李雨轩第一节 研报要点 ——●Lido是以太坊社区选出来对抗CEX的质押池,肩负着ETH2.0去中心化的使命,如果Lido成为最大的质押池.
ICPunks是基于DFINITY构建的NFT项目,其朋克风格的NFT采用ERC-721标准构建.
注:AXIE是目前最成功的NFT游戏项目,本文解释了链上资产定价和用户行为如何相互平衡的关系。本文作者为JoelJohn及JX,后者的贡献更多。 嘿,今天的文章是与JX合作编写的.
加密市场日新月异,每隔几天就会冒出一个新的版块占据新闻头条。为了帮助大家更好的捕捉热点,本文将整理出以太坊上最为重要的20项创新,它们的存在将完完全全改变我们使用网络的方式.