本文源于十四正在撰写的《UniSwap从V1到V3的去中心化交易所之路》中用作资料援引,也发现市面文章的推导公式都颇为复杂,且重要逻辑转换缺乏描述,而无常损失又是Dex中AMM的重要部分,故单独成文。如读者对无常损失以及对应影响有兴趣的,亦可直接跳转文末阅读白话版本。本文推导基于AMM经典恒积公式

AMM机制简介可阅读:一文讲清-NFT市场新秀SudoSwap的AMM机制-创新挑战与局限部分公式中虚线系公式编辑器误操作,无实际意义如需word源文档可在公众号后台回复“无常损失”获取Part1:计算初始持有价值
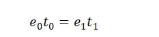
假定我持有若干e0(ETH)以及若干t0(Token),初始两者价值相等,如1e0=10t0,用公式表达其token的价格则p0为:

Velo实验室副董事Beam:解读Velo收购Interstellar背后布局:金色财经报道,3月17日下午16:00,金色财经与欧易OKEx联合举办“金色财经对话Beam:解读Velo收购Interstellar背后布局“,邀请Velo 实验室副董事长 Tridbodi Arunanondchai(Beam)作为嘉宾讲述背后故事。
在直播中,Beam表示,Velo的目标是建立一个赋能传统银行商业并将其与最新的中心化和去中心化商业相链接的桥梁。
在谈及本次收购的原因时,Beam解释道,Velo与Stellar有着共同的目标和愿景,并且双方在能力上互相补充互相赋能。Interstellar团队在提供更快、更低廉以及更稳定的给予Stellar网络的跨境支付方案中有着极深厚的经验。因此彼此的融合是一个非常自然的选择。这次合并将使其成为行业里更强、更有影响力的团队。[2021/3/18 18:56:33]
则我持有的总价值等于数量*价格为:

欧科云链解读《海南自贸港总体方案》:区块链产业的政策洼地与制度高地:6月1日,国务院印发了《海南自由贸易港建设总体方案》,其中在多个地方提到了区块链产业相关政策。欧科云链研究院认为《方案》将推动海南自贸区成为我国区块链产业的政策洼地与制度高地。从《方案》内容上看,海南自贸港的区块链产业发展将分为两个阶段:在2025年前的第一阶段,主要任务是推动区块链和实体经济深度融合,实现海南“贸易投资自由化便利化”,主要在“产权保护”和“新一代信息基础设施”两个方面深耕;在2035年前的第二个阶段,将以海南自贸区作为先行试点,建立数据确权、数据交易、数据安全和区块链金融的标准,确保我国在未来跨境数据的国际规则制定中不会处于被动位置。[2020/6/2]
如果未进行Uniswap注入Lp的行为,则未来即使token对比Eth的价值变动,产生了新的价格,则我介时的资产总值VH为:

Part2:为UniSwap注入流动性
动态 | 纽交所为Bakkt测试举行启动仪式 外媒解读此举表明监管机构已为Bakkt开绿灯:据Trustnodes消息,比特币结算期货平台Bakkt将于7月22日开始测试。7月18日,纽约证交所(NYSE)董事会已举行比特币结算期货启动仪式。区块链投资基金Pantera Capital首席执行官Dan Morehead表示在Bakkt数字资产峰会(Bakkt Institutional Digital Asset Summit)上表示:“我们坐在纽约证交所的董事会会议室里——这是比特币的第一次。”Trustnodes评论称,到目前为止,峰会没有取得什么成果,也不清楚是否有媒体受邀,但此次活动的举办表明,经过数月的漫长过程,Bakkt目前正在推进比特币期货的测试工作。Bakkt已经通过自我认证获得了美国商品期货交易委员会(CFTC)的批准,经过长时间的谈判,旧的规章制度得到了政策上的调整。[2019/7/20]
我们可以将ETH和代币两者按一定比例注入流动性,这里方便计算假定为按总值各占50%的注入,流动性池会给我们Lp的凭证,如10个LpToken用于证明我们占据当前总流动性的分红权益股份。由于恒积公式,只有注入和抽离LP会改变K值
声音 | 李少平解读最高法“五五改革纲要”: 要推动区块链存证等科技创新手段深度运用:据中国之声《央广新闻》消息,《最高人民法院关于深化人民法院司法体制综合配套改革的意见》,即《人民法院第五个五年改革纲要(2019—2023)》今日发布。最高人民法院副院长李少平在对该文件进行解读时表示,“五五改革纲要”在前期工作基础上,提出要构建中国特色社会主义现代化智慧法院应用体系,不断破解改革难题、提升司法效能。其中,要推动语音识别、图文识别、语义识别、智能辅助办案、区块链存证、常见纠纷网上数据一体化处理等科技创新手段深度运用。[2019/2/27]

所以可以推导出计算当前e1的数量公式:

最终

金色财经独家解读:韩国区块链协会自律控制案不具备法律效力,但协会可与商业银行合作关闭不参加宣言的交易所的法币兑换通道:今天韩国区块链协会发布数字货币交易所自律控制案,金色财经第一时间对此方案进行了解析。其中对交易所最重要的一点便是,韩国区块链协会自律控制案不具备法律效力,但介于协会与政府及商业银行的友好关系,协会可以通过与商业银行的协议关闭法币-代币转换通道。而这便直接导致了大部分韩国大型交易所一致支持宣言,其中包括bithumb,korbit,coinone等。但upbit或因其主要业务为新币种交易,拒绝接受宣言。在场的小型交易所也因为此方案对广告限制的范围过于广义,而没有同意宣言。
一家小型交易所对金色财经表态,他们认为这样的宣言内容会对中小型交易所造成不利的竞争环境,希望协会能够重新斟酌此方案。[2017/12/15]
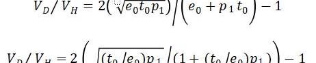
如此综合计算我们可以提取的流动性价值VU是

此处得出VU的将构成后续无常损失部分的被减数,因此特地为VU推导了上诉的两个采用e1以及不采用e1的公式Part3:无常损失公式推导
依据Part1我们得出了保持持有当前token的价值VH,依据Part2我们得出了不用持有而是投入Uniswap做LP的总价值VU,显而易见:Divergenceloss应该是VD

由于价值涨跌应该依据其对于原始价值的比值,所以我们把等式两边都除以VH

此处带入上文Part1和2结论中的VH与VU详细公式

所以无常损失率VD/VH为:

这时最关键的一步,无常损失发生在有价格差的两个时间段上,所以我们来带入价格的变化率R,其等于两个时间的价格相除

结合Part1中的公式

所以R也等于

结合无常损失率VD/VH我们将核心部分都乘以e0来形成只有R的最终公式

这样则可以化简出只有R来表示的无常损失率

由于最终无常损失率值和R值有关系,则也意味着只要R有变动,无论增加还是减少,都将产生无常损失,并且按倍数衡量是一个对等的数值Part4图表化无常损失公式
我们可以通过绘图工具来呈现这个公式的结果,虽然下图看似是一个非对称的曲线,但实际上是对称的,因为他是一个相对的倍率,即对于原价值的1ETH=100Dai而言,跌到1ETH=50Dai是下跌1倍,等于涨到1ETH=200Dai则是上涨1倍,其无常损失是相同的均为5.72%


如何理解无常损失?无常是什么意思?首先他是命名不恰当,之前选择“无常”这个词是因为如果价格背离被逆转,那么由于价格背离造成的损失也会被逆转,后来更多的文章会采用来描述他。无常损失在何时发生?如果价格回到与流动性提供者增加流动性时相同的价值,这种损失就会消失。这种损失只有在流动性提供者撤回其流动性时才会实现,并且是基于存款和取款之间的价格差异无常损失会超过导致LP入不敷出吗?流动性提供者的实际回报,其实是价格差异造成的背离损失与交易所交易的累计费用之间的平衡。

如上图,该账户自成为LP以来,与仅持有原始资金相比,该账户一直处于净负头寸。这是由于在此期间ETH价格变动造成的巨大背离损失。然而,自始至终总费用一直在稳步累积。随着ETH价格接近提供流动性的价格,大部分损失会被扭转。无常损失究竟来源何处?向市场提供流动性做LP,即成为做市商,实际上是和市场中的用户做对手盘。而AMM是被动的和市场中的用户做对手盘,即当市场中大部分人看好ETH的后续市场,则会用DAI买入ETH,你的流动性池子会被动的增加DAI而减少ETH。所以,提供流动性就代表了总是和市场做反向的操作,总是倾向去持有更多的弱势资产。于是当ETH上涨,你的流动性会不断提前抛出ETH,而拿到更多的DAI,这些被提前抛出的\nETH就成了无常损失的来源,即这个时候无常损失可以理解为你在ETH上的踏空损失,或者是被外部套利者拿走了池内的价值。相关资料https://uniswap.org/whitepaper.pdfhttps://pintail.medium.com/understanding-uniswap-returns-cc593f3499efhttps://pintail.medium.com/uniswap-a-good-deal-for-liquidity-providers-104c0b6816f2https://hackmd.io/@HaydenAdams/HJ9jLsfTzhttps://github.com/Dapp-Learning-DAO/Dapp-Learning/blob/main/basic/13-decentralized-exchange/uniswap-v1-like/README.md欢迎你从公众号后台留言作者探讨web3行业问题点赞关注十四,用技术视角带给你价值
1月31日,NFT交易协议sudoswap正式发布治理代币SUDO并开启治理模块,SUDO的Lockdrop和Airdrop也正式开放.
美国通胀继续保持粘性,推迟了投资者对美联储暂停加息周期的预期。劳工部周二公布的数据显示,虽然1月份通胀继续降温,但另一方面,随着能源、食品和租金价格的上涨,降温的步伐有所放缓.
头条 纽约州金融服务部命令Paxos停止发行BUSD,将继续允许赎回Odaily星球日报讯纽约州金融服务部命令PaxosTrustCo.停止发行更多的BUSD代币.
随着加密行业规模的极速发展和业务的精细化,DAO近几年也在加速演进。不如NFT和Gamefi的热闹,自2013年VitalikButerin在以太坊白皮书提出概念到2016年第一个DAO诞生和同.
Odaily星球日报译者|念银思唐2022年对加密货币来说是艰难的一年。今年5月,一种所谓的“稳定币”崩盘,引发了一波破产潮。仅仅几个月后,一家大型加密货币交易所倒闭.
原文来源:Decrypt原文编译:白泽研究院“加密货币不仅是货币理论的实验,也是去中心化治理的激进实验.